Nomenclature
1. 서 론
2. 방법 및 조건
3. 결과 및 분석
3.1 HD 1.3급에 대한 IBD, PTRD 및 ILD
3.2 HD 1.1급에서의 IBD, PTRD 및 ILD
3.3 Dmax 및 Dmin
3.4 안전거리별 피해 확률
4. 결 론
Nomenclature
NEWQD : net explosive weight for quantity distance
HD : hazard division
ILD : intraline distance
PTRD : public traffic route distance
IBD : inhabited building distance
Dmax : maximum distance(radius)
Dmin : minimum safe distance
1. 서 론
최근 위성과 같은 특정 물체를 우주로 운반하기 위한 발사체의 관심이 많아지고 국내에서 발사체 관련 기술 개발이 활발하게 수행되고 있다[1,2]. 우주발사체와 유사하게 살상 또는 파괴 목적의 유도무기는 로켓 모터를 이용하여 추진력을 확보한다. 이러한 추진 성능을 파악하고 분석하는 것은 우주발사체 및 유도무기의 기술 개발에 있어 매우 중요한 과정 중 하나이다.
유도무기의 추진 성능 검토는 다양한 단계에서 수행된다. 신규 유도무기 개발 시 설계 목표 성능을 검증하고 오류를 수정하기 위해서 시험을 통해 추진 성능을 파악한다. 또한, 개발된 유도무기의 양산 시 품질 보증을 위해 시험을 수행하여 추진력 등 품질을 검토한다. 유도무기의 성능시험은 실제 비행시험을 통해 성능을 정확하게 분석하는 것이 기본이나, 국내에서 비행시험은 환경 및 비용적 측면에서 상당한 어려움이 존재한다. 이러한 한계점을 극복하기 위해 지상에 유도무기의 추진기관을 고정하고 추진제를 점화하여 성능을 검증하는 연소시험(captive- fired testing)을 수행한다[3]. 이러한 연소시험장 중 고체 추진제를 시험하는 경우 화약류를 취급하기 때문에 높은 위험성이 존재한다. 고체 추진제의 제조시설 또는 탄약고와 같은 저장시설은 화약류의 위험성을 고려하여 이격거리 즉, 안전거리(quantity distance)를 준수하도록 규정하고 있다[4,5]. 그러나, 국내 대부분의 고체 추진제 연소시험장은 제조 및 저장시설로 분류되지 않기 때문에 법령의 적용 대상에서 제외된다. 따라서, 추진제를 제조 및 취급하는 공실이 연소시험장과 공존하는 경우를 제외하고 안전한 시험 환경을 조성하기 위해 주의가 필요하다.
국내 군용 탄약 및 폭발물에 대한 안전거리에 관한 기준은 미 국방부에서 발간한 안전 기준[6]과 유사하다. 해당 기준에서 제시한 안전거리는 안전거리용 순폭약량(net explosive weight for quantity distance)을 상관식에 대입하여 산정한다. 이러한 안전거리 산정 방식은 폭약량만 이용하여 단일 변수로 계산하기 때문에 빠른 장점이 있다. 한편, 안전거리는 폭발과압, 열 및 파편 등 위험 요소에 따라 산정 기준이 상이하며, 보호 수준에 따라 적용 범위도 달라질 수 있다. 이러한 이유로 단순히 폭약량을 이용한 안전거리 산정은 정확하고 구체적인 안전성을 파악하는데 한계가 존재한다.
한편, 발사체 등 추진제 취급 시 안전거리에 관한 연구가 일부 수행되었다[7,8]. Kim과 Han[7]은 해외 액체추진시스템 시험설비의 배치 사례를 조사하여 폭발과압을 고려한 이격거리를 분석하였다. Shin 등[8]은 발사체에 사용되는 고체 추진제량 450 kg ~ 500,000 kg 조건에서 저장 및 시험 시 최소한의 안전거리를 산정하였다. Shin 등[8]은 고체 추진제의 TNT 등가량을 50%로 설정하여 안전거리를 계산하였고, 저장시설의 안전거리에 비해 시험 시 안전거리가 더 넓은 것으로 보고하였다. 그러나, 해당 연구는 추진제 시험 시 건물 내부 인원만 소개하는 범위와 건물 내·외부 인원 모두 소개하는 범위로 구분하여 안전거리를 산정하였으나, 기준값으로 사용한 폭발과압의 근거가 미흡하다. 기존에 수행된 연구는 대부분 액체 추진제를 대상으로 안전거리를 검토하였고 고체 추진제에 대한 안전거리 검토는 매우 제한적이다. 또한, 고체 추진제의 안전거리에 관한 기존 연구[8]는 추진제량이 상대적으로 적은 조건일 때 안전거리 계산은 수행하지 않은 것으로 확인되었다.
추진제 취급 시 안전거리에 관한 기존 연구를 검토한 결과, 고체 추진제에 대한 세부적인 안전거리 산정이 충분히 이루어지지 않았으며, 산정에 이용되는 기준값에 대한 근거 또한 미흡한 것으로 판단되었다. 따라서, 본 연구에서는 자기규율 예방체계의 중요한 과정인 위험성평가를 정량적으로 도출하기 위해 고체 추진제의 연소시험 시 안전거리 산정에 대한 연구를 수행하였다. 안전거리 산정은 고체 추진제를 포함하는 00 mm급 추진기관을 대상으로 선정하였다. 고체 추진기관 연소시험의 안전거리 검토를 위해 국내 기준과 해외 기준을 조사하고 비교하였다. 또한, 안전거리별 피해 확률을 계산하여 안전거리가 보호하는 수준을 파악하였다.
2. 방법 및 조건
본 연구에서 대상으로 선정한 고체 추진제는 유도탄을 목표 지점까지 운반하기 위해 사용한다. 주로 군용 유도무기 추진기관의 에너지원으로 이용되나, 최근 소형 발사체 또는 궤도 진입용 모터에도 사용되는 추세이다. 고체 추진제는 단순한 구조와 저장 용이성이 우수한 장점이 있지만, 화약류의 특성상 불안정한 결합 상태로 평형을 유지하며 산화제를 포함하고 있어 외부 충격 등에 의해 급격하게 반응하는 비정상적 현상이 발생할 수 있다. 따라서, 본 연구에서는 고체 추진제를 포함하는 추진기관이 비정상적으로 반응하는 경우를 가정하여 안전거리를 산정하였다.
이러한 안전거리를 DESR(defense explosives safety regulation) 6055.09[6]는 입사압력(incident pressure)에 따라 지상탄약고간거리(IMD), 내부격리거리(ILD), 공로거리(PTRD) 및 주거시설거리(IBD)로 구분한다. 이때, 추진제의 연소시험장은 탄약고와 같은 저장시설로 분류하지 않기 때문에 본 연구에서는 IMD를 제외하고 안전거리를 산정하였다. Table 1에 안전거리별 입사압력을 나타내었다.
Table 1.
Incident pressure based on quantity distance [6].
| Charge weight | ILD | PTRD | IBD |
| - |
82.7 kPa* 24.1 kPa** | - | - |
| Q<45,400 kg | - | 15.9 kPa | 8.3 kPa |
| Q>113,400 kg | - | 11.7 kPa | 6.2 kPa |
일반적으로 고체 추진제는 HD 1.3급으로 분류한다. HD 1.3급의 주된 피해 영향은 화재로 인한 복사열이고 폭발이나 파편의 위험은 낮다. DESR 6055.09[6]는 HD 1.3급에 대한 IBD, PTRD 및 ILD를 Eq. 1, 2, 3, 4와 같이 제시하였고 본 연구에서 해당 상관식을 이용하였다.
또한, HD 1.3급은 환기가 충분할 경우 가스 압력의 발생이 중요한 문제가 되지 않지만, 환기가 충분하지 않은 등 극도로 밀폐된 경우 HD 1.1급의 폭발과 유사한 효과를 유발하는 것으로 보고하였다[6]. 또한, 고체 추진제는 특정 조건에서 폭풍파(blast wave)를 발생시키는 폭굉(detonation)하는 것으로 알려져 있다[9]. 이에 따라 본 연구에서 연소관 내 고체 추진제가 위치하는 추진기관의 특성을 고려하여 HD 1.1급처럼 폭발하는 것으로 가정하고 폭발과압을 이용한 ILD, PTRD 및 IBD를 산정하였다. 안전거리 산정을 위해 국내·외에서 널리 사용되고 반구형(hemispherical)과 표면 폭발(surface explosion)에 적합한 Kingery와 Bulmash[10]의 상관식을 이용하였다.
해외 사례를 살펴보면, Megaraj와 Grace[11]는 잔여 추진제 처리를 위한 연소 과정에서 손상을 일으킬 수 있는 최소 폭발과압을 5 kPa로 제시하였다. 액체 추진제 시험장의 경우 폭발과압 6.9 kPa을 고려하여 시험설비를 배치하는 것으로 확인된다[7,12]. 또한, Takahashi 등[13]은 하이브리드 추진제의 폭발 시 안전거리를 산정하기 위해 일본 기준인 1.073 kPa을 이용하였다.
한편, 미국 발사장 운영 허가에 대해 규정한 CFR(code of federal regulations) 420[14]은 발사체가 비행 초기 단계에서 고장으로 인해 강제적으로 파괴 시 발생한 파편의 이동 한계를 나타낸 최대 반경 거리(Dmax)를 제시하며 폭발과압 3.4 kPa을 기준으로 하고 있다. 발사 안전에 대해 규정한 CFR 417[12]은 잠재적인 인명피해의 기준을 폭발과압 6.9 kPa으로 하고 있다. 이때, 기준으로 이용되는 최대 입사 폭발과압(peak incident pressure)은 Kingery와 Bulmash[10]의 상관식으로 산정해야 한다고 CFR 417[15]에 명시되어 있다. 이러한 6.9 kPa의 폭발과압 기준은 미국 NRC(Nuclear Regulatory Commission)[16]에서 제시한 최소 안전거리(Dmin) 산정을 위한 폭발과압 기준과 동일하다. 또한, Kim과 Han[7]의 연구 결과에 따르면 해외 액체추진시스템의 소개 거리를 폭발과압 6.9 kPa으로 설정하는 것이 적절하다고 보고하였다. 이를 참고하여 본 연구는 해외 사례를 참고하여 3.4 kPa 및 6.9 kPa에 따른 안전거리를 산정하였다.
따라서, 본 연구에서는 HD 1.3급에 대한 IBD, PTRD 및 ILD와 HD 1.1급처럼 폭발할 때의 IBD, PTRD 및 ILD 그리고 해외에서 제시한 폭발과압 3.4 kPa, 6.9 kPa에 따른 안전거리를 검토하였다.
3. 결과 및 분석
3.1 HD 1.3급에 대한 IBD, PTRD 및 ILD
DESR 6055.09에서 제시한 Eq. 1에 따르면 HD 1.3급일 때 IBD와 PTRD는 동일하다. Eq. 1을 이용한 IBD 및 PTRD는 18.0 m으로 계산된다. 그러나, 본 연구에서 대상으로 한 00 mm급 추진기관은 NEWQD가 453.6 kg 이하이기 때문에 최솟값인 22.9 m를 적용해야 한다. Eq. 3을 이용한 ILD는 12.2 m로 계산되지만, IBD 및 PTRD와 동일하게 최솟값인 15.2 m를 적용하여야 한다. 즉, 00 mm급 고체 추진기관의 HD 1.3급에 대한 IBD 및 PTRD는 22.9 m, ILD는 15.2 m이다.
3.2 HD 1.1급에서의 IBD, PTRD 및 ILD
Fig. 1에 추진기관 폭발 시 발생되는 입사압력을 폭발 원점으로부터 거리에 따라 나타내었다. 폭발 원점에서부터 이격거리가 짧을수록 입사압력의 감소율이 크게 나타났다. 약 10 m 이내 구간에서 감소율이 매우 높고, 약 19 m 이상 이격될 때 입사압력은 100 kPa 이하로 확인되었다.
Table 1에 따른 IBD 및 PTRD는 각각 약 94 m, 58 m로 확인되었다. IBD에서 개방된 장소에 사람이 있을 경우 폭풍 효과로 인한 심각한 부상이 예상되지 않으나 파편과 잔해로 인한 부상이 발생할 수도 있다[6]. 강화되지 않은 건물의 경우 대체 비용의 약 5%에 해당하는 피해가 발생할 수 있고, 건물 내부에 상주하는 사람은 사망 또는 중상에 대해 높은 수준의 보호를 받는 거리이다. 한편, PTRD에서 개방된 장소의 사람에 대해 사망이나 중상이 발생하지 않더라도 파편과 잔해로 인해 부상이 발생할 수 있다. 강화되지 않은 건물에는 대체 비용의 약 20%에 해당하는 피해가 발생하며, 건물 내부에 상주하는 사람은 폭풍효과, 건물 잔해 및 변형으로 인해 일시적인 청각 손실 또는 부상이 발생할 수 있다.
한편, 방벽이 설치 및 미설치된 ILD는 각각 약 21 m, 43 m로 확인되었다. 방벽이 설치된 ILD에서 직접적인 폭풍, 건물의 붕괴 또는 변형으로 심각한 부상을 입거나 사망할 수 있다[6]. 강화되지 않은 건물은 심각한 구조적 손상이 발생한다. 방벽이 미설치된 ILD에서는 파편, 잔해, 화염 등으로 인해 심각한 부상을 입을 수 있다. 강화되지 않은 건물의 손상은 대체 비용의 약 50% 이상이며, 사람의 고막 손상 확률은 약 2%이다.
3.3 Dmax 및 Dmin
CFR 420에서 제시한 Dmax는 폭발과압 3.4 kPa을 기준으로 산정할 수 있다. Fig. 1에 나타낸 입사압력을 이용하여 도출한 Dmax는 약 187 m이다. CFR 417[15]과 NRC[16]에서 제시한 폭발과압 기준인 6.9 kPa을 이용한 Dmin은 약 109 m이다. 해외 발사장 안전거리 기준인 Dmax 및 Dmin는 DESR 6055.09[6]에서 제시한 IBD, PTRD 및 ILD의 폭발과압 기준에 비해 더 낮은 폭발과압을 기준으로 하기 때문에 상대적으로 거리가 큰 것으로 확인되었다. 3.1절부터 3.3절까지 도출된 결과를 Table 2에 정리하였다.
Table 2.
Calculated safety distance.
| Classification | ILD | PTRD | IBD | Dmax | Dmin |
| HD 1.3 | 15.2 m | 22.9 m | - | - | |
| HD 1.1 |
21 m* 43 m** | 58 m | 94 m | - | - |
| CFR | - | - | - | 187 m | 109 m |
한편, DESR 6055.09[6]는 추진기관의 연소시험과 같은 탄약과 폭발물의 의도적인 발화 또는 기폭 시 필수적인 시험인원 보호 조치에 대해 제시하고 있다. 사고로 인한 과도한 폭풍 과압은 15.9 kPa까지, 파편은 79 J 미만의 에너지까지, 열유속의 경우 2도 화상의 발생 방지 정도까지 인원을 보호할 수 있어야 한다. 이때, 15.9 kPa의 기준은 폭풍 및 열 효과에 대해서만 필요한 수준의 보호를 한다고 보고하고 있으며, PTRD의 입사압력 기준과 동일하다.
또한, 필수 인원에 대한 최소 격리 거리(minimum separation distance)를 산출하기 위한 안전거리 공식의 기준도 15.9 kPa로 설정하고 있다. 한편, 비필수 인원에 대한 최소 격리 거리는 HD 1.3급에 대한 IBD와 동일하다. 즉, 필수 인원에 대한 최소 격리 거리는 약 58 m이고 비필수 인원에 대한 최소 격리 거리는 약 22.9 m로 산출할 수 있다.
3.4 안전거리별 피해 확률
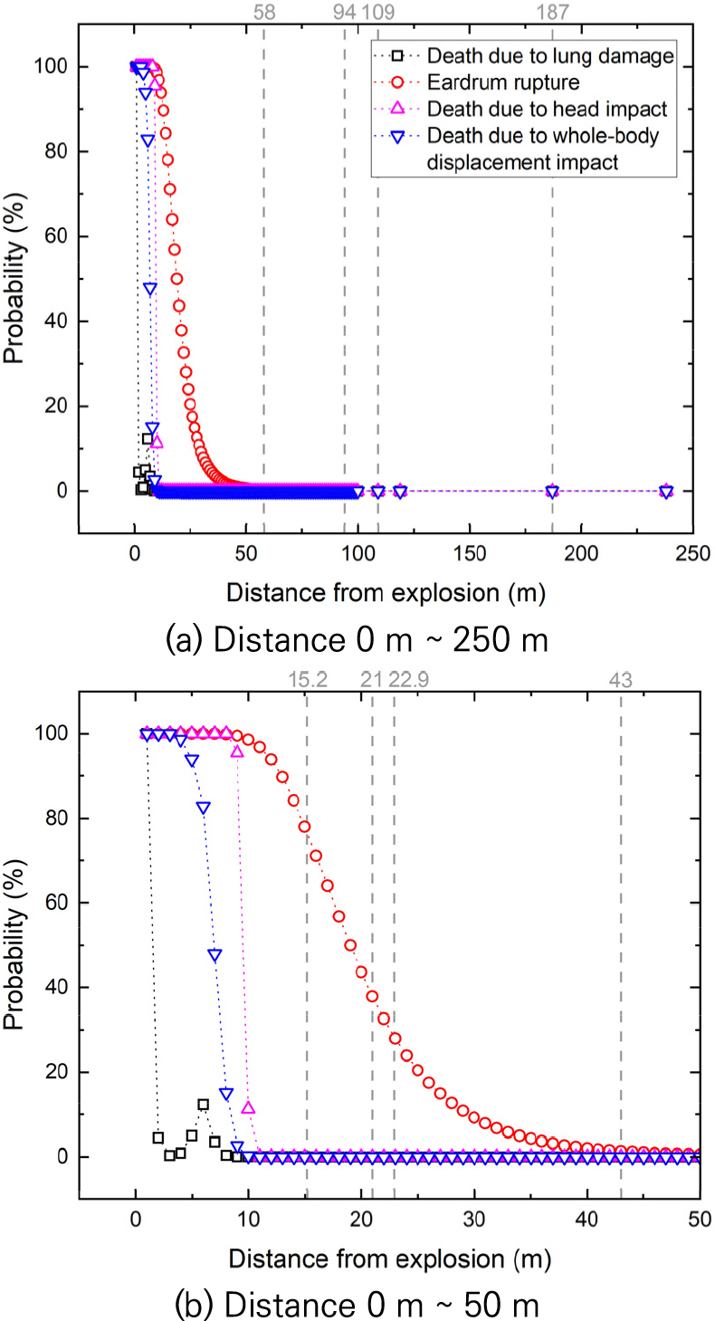
HD 1.3 및 HD 1.1급에서의 IBD, PTRD 및 ILD와 Dmax 및 Dmin에서 시험인원과 시험시설이 받는 피해 영향을 확률론적으로 분석하여 해당 안전거리가 보호하는 수준을 파악하였다. 시험인원과 시험시설의 피해 확률 계산은 프로빗 분석을 이용하였으며, 확률(P)과 프로빗 함수(Pr)를 각각 Eq. 5와 6에 나타내었다. 이때, c1과 c2는 상수, S는 폭발압력 또는 충격량으로 구성된 변수를 의미한다.
안전거리에서 시험인원의 피해 확률은 폐 손상으로 인해 사망할 확률[17], 고막이 파열될 확률[18], 머리 충격으로 인해 사망할 확률 및 전신 전위 충격으로 인해 사망할 확률[19]로 구분하여 파악하였다.
Fig. 2에 폭발 원점으로부터 거리에 따른 시험인원의 피해 확률을 나타내었다. HD 1.3급에 대한 IBD 및 PTRD, ILD에서 폐 손상, 머리 충격 및 전신 전위 충격으로 인한 사망할 확률은 0%이다. 고막이 파열될 확률은 IBD 및 PTRD에서 28.4%, ILD에서 76.7%이다. 또한, HD 1.1급의 IBD, PTRD 및 ILD에서 폐 손상, 머리 충격 및 전신 전위 충격으로 인한 사망할 확률은 0%이다. IBD 및 PTRD에서 고막의 파열 확률의 경우 각각 0%, 0.2%이며, 방벽이 설치 및 미설치된 ILD에서 고막의 파열 확률은 각각 37.8%, 1.3%이다. 한편, Dmax 및 Dmin에서 시험인원의 피해 확률은 모두 0%이다.
안전거리별 시험인원의 피해 수준은 HD 1.3급 및 1.1급의 IBD, PTRD 및 ILD에서 폐 손상, 머리 충격 및 전신 전위 충격으로 인해 사망하지 않지만 고막 파열의 가능성이 존재하는 것으로 나타났다. HD 1.3급이 HD 1.1급에 비해 안전거리가 짧기 때문에 고막의 파열 확률이 높고, IBD 및 PTRD가 ILD에 비해 안전거리가 길어 고막의 파열 확률이 낮은 것으로 확인되었다. 또한, Dmax 및 Dmin에서 시험인원이 부상 또는 사망하지 않은 것으로 나타났다.
안전거리에서 시험시설의 피해 확률은 구조물이 붕괴될 확률, 심각한 및 가벼운 손상이 발생할 확률, 유리창이 파손될 확률[20]로 구분하여 파악하였다.
Fig. 3에 폭발 원점으로부터 거리에 따른 시험시설의 피해 확률을 나타내었다. HD 1.3급에 대한 IBD 및 PTRD, ILD에서 유리창이 파손될 확률은 모두 100%이다. 구조물이 붕괴될 확률은 각각 48.2%, 80.4%이며 심각한 손상이 발생할 확률은 각각 85.9%, 97.4%이고 가벼운 손상이 발생할 확률은 각각 96.6%, 98.9%로 확인되었다. 또한, HD 1.1급의 IBD, PTRD에서 유리창이 파손될 확률은 각각 89.2%, 99.8%이며 방벽이 설치 및 방벽이 미설치된 ILD는 모두 100%이다. 구조물이 붕괴될 확률은 IBD, PTRD, 방벽이 설치 및 미설치된 ILD에서 각각 0%, 1.5%, 55.7%, 7.1%이며 심각한 손상이 발생할 확률은 각각 1.6%, 15.8%, 89.6%, 38.1%이고 가벼운 손상이 발생할 확률은 각각 53.3%, 75.6%, 97.3%, 85.8%이다. 한편, Dmax 및 Dmin에서 유리창이 파손될 확률은 각각 15.3%, 77.9%이다. 구조물이 붕괴될 확률은 모두 0%이며 심각한 손상은 각각 0%, 0.6%이고 가벼운 손상은 각각 21.2%, 45.9%이다.
안전거리별 시험시설의 피해 수준은 HD 1.3급 및 1.1급의 IBD, PTRD 및 ILD에서 시험시설의 유리창은 매우 취약하여 높은 확률로 손상이 발생하는 것으로 나타났다. HD 1.3급에 대한 IBD 및 PTRD, ILD에서 시험시설의 중대한 손상이 발생하며 붕괴될 수 있음을 확인하였다. HD 1.1급의 IBD 및 PTRD와 방벽이 미설치된 ILD에서 시험시설이 붕괴나 심각한 손상이 발생할 확률은 낮게 형성되나, 방벽이 설치된 ILD에서는 비교적 높은 경향이 나타났다. 또한, Dmax에서 시험시설이 손상될 확률이 비교적 낮고, Dmin에서 유리창이 파손되는 등 가벼운 손상이 발생할 수 있지만 구조물이 붕괴되는 중대한 손상이 발생하지 않은 것으로 나타났다.
고체 추진기관 연소시험장은 화약류를 취급하는 특성상 잠재적 위험이 내재되어 있으며, 중대 재해 사고 발생 가능성이 높으므로 철저한 안전 관리가 필수적이다. 그러나, 연소시험장과 관련된 국내 법령은 세부적이고 명확한 안전 기준을 충분히 제시하지 못하고 있다. 이러한 한계에도 불구하고, 국내 연소시험장에서는 추진기관 취급 작업을 저장과 유사한 개념으로 간주하여 저장시설에 적용되는 안전 기준을 준용할 수 있다. 또한, 추진기관을 장기간 저장하는 것이 아니라 시험을 위해 임시로 취급하는 개념이기 때문에 UN에서 제시한 임시저장 기준[21]을 적용함으로써 안전성을 확보할 수 있다.
본 연구 결과는 연소시험의 위험성평가를 위한 기초 자료로 활용될 것으로 기대된다. 추후 화약류 취급 작업의 위험성을 정확하게 이해하고 안전한 환경을 구축하기 위해서 다양한 환경 조건(구속 여부, 지형 구조 등), 피해 수준(열, 파편 등)에 대한 연구가 수행되어 복합적으로 판단하여야 한다.
4. 결 론
본 연구는 고체 추진기관의 연소시험 간 위험성을 정량적으로 도출하기 위해 00 mm급 고체 추진기관을 대상으로 안전거리를 검토하였다. 안전거리에 대한 국내 및 해외 기준을 조사하고 다양한 안전거리를 산정 및 비교하였다. 또한, 프로빗 분석을 이용하여 안전거리별 시험인원 및 시험시설의 피해 확률을 파악하고 보호 수준을 검토하였다. 본 연구의 주요 결과를 아래와 같이 정리하였다.
(1) 미 국방부에서 제시한 안전거리 기준인 HD 1.3급에 대한 IBD 및 PTRD는 각각 22.9 m, ILD는 15.2 m로 나타났다.
(2) 또한, HD 1.1급에서의 IBD 및 PTRD는 각각 약 94 m, 58 m이고 방벽이 설치 및 미설치된 ILD는 각각 약 21 m, 43 m로 나타났다.
(3) 해외 발사장 안전거리 기준인 Dmax와 Dmin은 각각 약 187 m, 109 m이다. 필수 및 비필수 인원에 대한 최소 격리 거리는 각각 약 58 m, 22.9 m로 확인되었다.
(4) 피해 수준은 HD 1.3급 및 1.1급의 모든 안전거리에서 시험인원이 사망하지 않으나 고막 파열의 가능성이 존재하였다. Dmax 및 Dmin에서는 시험인원이 부상 또는 사망하지 않은 것으로 나타났다. 한편, HD 1.3급 및 1.1급의 모든 안전거리에서 시험시설의 유리창이 매우 취약한 것으로 관찰되었다. HD 1.3급에 대한 모든 안전거리에서 시험시설의 중대한 손상이 발생하며 붕괴될 수 있다. HD 1.1급의 IBD 및 PTRD와 방벽이 미설치된 ILD에서 시험시설이 붕괴나 심각한 손상이 발생할 확률은 낮게 형성되나, 방벽이 설치된 ILD에서는 비교적 높은 경향이 나타났다. 또한, Dmax 및 Dmin에서 심각한 손상이 발생하지 않은 것으로 나타났다.





