Nomenclature
1. 서 론
2. 이론적 배경
2.1 반응 모델
2.2 연료 표면 경계 조건
3. 해석 기법 검증 시뮬레이션
3.1 해석 형상 및 격자
3.2 반응 모델 및 연료 표면 경계설정 검증 해석 조건
3.3 반응 모델 및 연료 표면 경계설정 검증 해석 결과
4. 입구 조건에 따른 매개변수 연구
4.1 공기 입구 조건에 따른 매개변수 해석 조건
4.2 공기 입구 조건에 따른 매개변수 연구 결과
5. 결 론
Nomenclature
: 종 의 생성 속도
: 생성물 의 화학량론적 계수
: 분자량
: 고체연료의 밀도
: 열분해 가스의 밀도
𝜖 : 난류 소산율
: 난류 운동 에너지
: 질량 분율
: 반응물 의 화학량론적 계수
: 혼합 분율
: 속도 벡터
: 유동의 난류 점성 계수
: 벽에 인접한 격자의 두께
: 열분해 가스의 형성 엔탈피
: 고체연료의 후퇴율
: 질량 소스 항
: y축 방향 운동량 소스 항
: 에너지 소스 항
: 혼합 분율 소스 항
: 공기의 질량 유속
: 공기의 온도
: 연료의 질량 유속
: 열분해 가스의 온도
: 외부 영역 경계의 y축 방향 확장 거리
: 후향 계단 높이
: x축 방향 거리
: y축 방향 거리
: x축 방향 속도
: y축 방향 속도
: 연소실 입구에서의 x축 방향 공기 유입 최대 속도
1. 서 론
최근 고체연료 램제트 엔진은 높은 비추력, 간단한 구성, 높은 연소 안정성으로 인해 다시 주목받고 있다. 특히 마하 2~4의 비행 속도에서 고체연료 램제트 엔진은 다른 엔진에 비해 월등히 높은 비추력 성능과 효율을 제공할 수 있다[1]. 또한, 비록 고체연료 램제트 엔진은 마하 2 이상의 초기 속도에서만 작동하지만, 이를 포탄에 적용할 경우 추가적인 가속 장치가 필요 없다는 점에서 매우 실용적이다[2]. 이러한 이유로 현재 미국, 노르웨이 등 여러 국가에서 고체연료 램제트를 포탄에 적용하기 위한 연구가 활발히 진행되고 있다[3].
일반적으로 고체연료 램제트의 흡입구를 통해 램 압축되어 연소실로 들어오는 고온 고압의 공기는 후향 계단(backward facing step)을 통과하면서 유동이 분리되고 확장되어 예혼합(재순환) 영역을 형성한다. 이 과정에서 고온의 공기는 고체연료 표면에서 열분해를 유도하며, 예혼합 영역에서는 코어 유동과 열분해 생성물이 효과적으로 혼합된다. 이러한 혼합은 공기의 체류 시간을 증가시켜 화염 안정화에 기여한다. 예혼합 영역의 하류에서 코어 유동이 고체연료 표면에 다시 도달하는 지점은 재부착 지점(reattachment point)으로, 그 이후 구간에서는 재발달하는 난류 경계층 아래에서 공기와 열분해 생성물이 결합해 확산화염이 형성된다. 고체연료 램제트 연소실 내부 유동장의 개략도를 Fig. 1에 나타내었다[4,5].
고체연료 램제트 엔진을 포탄에 적용하기 위해서는 연료의 열분해 및 연소 특성에 대한 심층적인 이해가 필요하다. 이러한 이유로 고체연료의 열분해 및 연소 특성을 이해하기 위한 다수의 선행 연구들이 진행되었다. 그중 대표적인 연구로, Ciezki 등[6]은 평판 후향 계단 연소기를 사용하여 hydroxyl-terminated polybutadiene(HTPB) 기반 슬랩 고체연료에 보론 입자(B)를 첨가한 실험적 연구를 수행하였다. Lee[7]는 보론 카바이드가 함유된 그레인을 사용하여 고체연료 램제트의 당량비와 공기 질량 유속에 따른 연소 효율의 변화를 실험적으로 조사하였다. 최근, 난징 대학교 연구 그룹[8]에서는 high density polyethylene(HDPE) 연료에 대해 공기의 소용돌이 흐름이 고체연료 램제트 엔진의 후퇴율, 연소 특성 및 유동에 미치는 영향을 실험 및 수치적 연구를 통해 조사하였다. 특히, 상용 computational fluid dynamics(CFD) 소프트웨어를 활용한 Tian[9]의 연구에서는 하이브리드 로켓 모터의 성능을 예측하기 위해 동적 격자 기능을 이용하여, 시뮬레이션 모델을 구축하고 실험을 통해 이를 검증하였다. 평균 추력과 연소실 압력의 시뮬레이션 결과와 실험 결과가 잘 일치함을 확인하였다. Li 등[10]은 in-house 코드를 개발하여, 다양한 입구 조건에서 고체연료 램제트의 열역학적 성능을 연구하였다. 특히, 소용돌이 강도, 공기 유량, 공기 온도가 증가하면 열 방출률, 후퇴율, 연소실 평균 온도가 크게 향상됨을 확인하였다.
기존 연구들은 주로 in-house 코드나 상용 프로그램을 활용하여 고체연료 표면에서 복잡한 열전달 현상을 해석하는 데 집중해 왔다. 그러나 다양한 연소 모델과 열분해되는 고체 표면의 경계 조건이 해석 결과에 미치는 영향을 체계적으로 분석한 연구는 아직 부족한 실정이다. 이에 따라, 본 연구에서는 상용 소프트웨어인 Ansys Fluent 2023 R2를 활용하여 기체상 연소를 모사할 수 있고, 비교적 저렴한 계산 비용으로도 사용할 수 있는 반응 모델인 eddy dissipation model(EDM)과 확률밀도함수(probability density function, PDF)기반 모델인 non-premixed combustion model(NPCM), 그리고 고체연료 표면의 열분해를 모사하기 위한 질량유량입구 및 벽+소스 경계 조건의 신뢰성과 타당성을 검증하고자 한다. 이러한 검증은 앞서 언급한 Ciezki 등[6]의 실험 조건을 기반으로 실험 결과와 수치해석 결과를 비교 분석함으로써 수행되었다. 또한, 검증된 반응 모델과 경계 조건을 바탕으로, 공기 질량 유속과 온도를 변화시키는 매개변수 연구를 수행하여, 이러한 변동이 연소 특성에 미치는 영향을 추가로 비교 분석하였다.
2. 이론적 배경
2.1 반응 모델
본 연구에서는 Ciezki 등[6]에서 적용한 연료와 산화제를 동일하게 고려하였다. HTPB를 고체 연료로 고려하고, 산화제로는 공기를 적용하였다. 특히, HTPB는 고온에서 폴리머인 1,3-부타디엔(1,3-butadiene, C4H6)으로 주로 분해되는 특성을 갖는다[11]. 따라서, 본 연구에서는 HTPB가 순수하게 1,3-부타디엔으로만 분해된다고 가정하였다.
EDM과 NPCM 두 반응 모델은 고체연료 램제트에서 발생하는 비예혼합 확산 화염을 효과적으로 모사하는 데에 적합하다[12]. EDM은 다양한 유동 구성에 폭넓게 적용 가능한 반응 모델로, 산화제와 연료의 혼합 시간이 화학 반응 시간보다 훨씬 긴 경우 즉 혼합-제한 연소 과정에서 주로 사용되며, 혼합이 제한된 연소를 모델링하는 데 효과적이다. 또한, EDM은 복잡한 화학 반응 메커니즘을 생략하고 혼합을 우선적으로 고려하여 연소를 모델링하기 때문에, 계산 자원을 절약하고 해석 시간을 단축하는 데 유리하다. 그러나, EDM은 반응 속도가 온도와 독립적으로 계산되기 때문에, 온도 의존적인 반응속도를 정확히 표현하지 못한다는 단점이 있다. 상세 화학 반응 메커니즘을 고려하지 못해, 중간 생성물이나 분자의 해리와 같은 효과를 예측할 수 없다. EDM에서 특정 반응()에 의해 생성되는 종(species)의 생성 속도()는 다음과 같다[13].
이때, A와 B는 경험적 상수로 각각 4.0, 0.5로 설정하였다[13]. 본 연구에서 EDM에 적용한 기체상 반응 메커니즘은 1,3-부타디엔-공기 2-스텝 총괄 반응 메커니즘으로 다음과 같다[11].
EDM과 달리, NPCM은 혼합 분율(𝑓) 개념을 통해 연료와 산화제의 상대 농도를 하나의 변수로 표현한다. 𝑓는 0에서 1 사이의 값을 가지며, 0은 산화제만 존재하는 상태, 1은 연료만 존재하는 상태를 나타낸다[13]. 사전 정의된 확률밀도함수 테이블을 사용함으로써 시뮬레이션 중 각 상태에서의 화학 평형 농도를 빠르게 찾아 계산 속도를 향상시킬 수 있다. 또한, 난류와 화학 반응의 상호작용을 엄밀하게 고려하여 더 정확한 연소 특성 예측이 가능하다[13]. 확률밀도함수 계산 시, 연료 혼합물의 과농 연소 한계(fuel stream rich flammability limit)의 정의가 필요하다. 본 연구에서는 과농 연소 한계를 1,3-부타디엔의 화학량론적 평균 혼합 분율의 두 배로 설정하였다[14]. 이러한 설정을 통해 연료 과잉 영역에서 복잡한 평형 계산을 우회할 수 있다. 따라서, 계산 속도가 향상될 뿐만 아니라 완전 평형상태를 가정하는 것보다 물리적으로 더 정확한 해를 얻을 수 있다[15]. 그러나, NPCM은 난류 유동 조건과 화학 평형 조건에서만 적용 가능하다는 단점이 있다. NPCM의 혼합 분율에 대한 방정식은 다음과 같다[13].
여기서 Sf는 혼합 분율 소스 항으로, 2.2절에 소스 항에 대한 정의가 제시된다.
2.2 연료 표면 경계 조건
본 연구에서는 고체연료의 열분해 표면의 경계 조건을 질량유량입구 조건과 벽+소스 조건으로 설정하고, 해석 결과를 비교하였다. 두 경계 조건 모두 고체연료 표면에서 열분해 생성물의 주입을 효과적으로 모사할 수 있다.
고체연료 표면에 질량유량입구 경계 조건을 적용하면, 연료의 질량 유량을 직접 설정하여 열분해 과정을 비교적 간단하게 모사할 수 있다는 장점이 있다. 그러나 이 방법은 연료 표면에서 발생하는 복잡한 현상을 충분히 반영하지 못할 수 있다. 특히, 질량 분율을 1로 설정하는 경우, 입구에서 매우 높은 농도가 설정되어 실제보다 과도한 확산이 발생할 수 있다. 이로 인해 시뮬레이션 결과에서 해당 화학종의 분포가 실제보다 과장되거나 왜곡될 가능성이 있다[15].
이에 비해 벽+소스 경계 조건은 고체연료 표면을 벽 조건으로 설정하고, 벽에 가장 인접한 격자에 소스 항을 적용해주는 경계 조건이다. 이때, 소스 항은 사용자 정의 함수(user defined function)로 정의된다. 연료의 열분해를 더 정확하게 모사하기 위해 질량, 축 방향 운동량, 에너지, 화학종(혼합 분율) 방정식에 대한 총 4가지 소스 항을 적용하였다. 적용된 소스 항은 다음과 같이 정의된다[16].
여기서, Vg는 기체상 도메인과 고체연료 표면 사이의 질량 보존을 통해 얻어지는 열분해 생성물의 속도로 다음 식으로부터 계산된다.
이때, 는 HTPB의 밀도로 960 kg/m3이며, 는 열분해 가스(C4H6)의 밀도로 연료 표면에 근접한 셀에서 온도와 압력에 따라 Fluent 상에서 계산된다. (평균 후퇴율)은 Ciezki 등[6]의 실험 결과로부터 얻어진 0.06 mm/s를 적용하였다. 또한, 본 연구에서는 연료의 열분해 생성물을 단일 종(C4H6)으로 고려하였기 때문에 EDM과 NPCM에서 동일한 Sf 소스 항을 적용하였다. 이러한 벽+소스 경계 조건을 적용할 경우, 시뮬레이션 설정이 복잡해진다는 단점이 있다. 하지만, 연료 표면에서 발생하는 화학 반응 및 열전달, 난류 모델과의 상호작용을 더 정확하게 모델링할 수 있다[14].
3. 해석 기법 검증 시뮬레이션
3.1 해석 형상 및 격자
해석에 사용된 형상은 Ciezki 등[6]에서 제시한 연소기 형상을 이차원(two-dimensional, 2D)으로 변환하여 사용하였다. 선행 연구에서는 노즐이 장착되지 않은 고체연료 슬랩 연소기에서 실험이 수행되었다. 해당 연소기의 평면도와 측면도를 Fig. 2에 각각 나타내었다. 해석 형상은 유입 공기의 완전 발달을 고려하여, 공기 유입부의 길이를 내부 난류 유동 입구 길이의 10배로 설정하였다[17]. 이에 따른 해석 형상을 Fig. 3에 제시하였다. 해석 격자는 사각 정렬 격자로 구성하였으며, 격자수 의존성 검증을 수행하였다. 각 격자수에 따른 무차원 벽면 거리(y+)는 난류 모델의 적정 범위가 30에서 300 사이임에 따라[18], 가장 조밀한 격자는 격자수 약 4.7×105개, y+=30, 조밀한 격자는 약 1.3×105개, y+=90, 성긴 격자는 격자수 약 5.1×104개, y+=150으로 설정하였다. 격자수 의존성을 검증하기 위해 x/H=14.5에서의 속도 프로파일을 비교하였으며, 그 결과를 Fig. 4에 나타내었다. 검증 결과, 4.7×105개의 격자수를 사용한 경우 수렴이 이루어졌다. 약 1.3×105개의 격자수를 사용한 결과에서도 수렴한 결과와 속도 프로파일이 충분히 일치함을 확인하였다. 따라서, 효율성과 정확성 측면에서 약 1.3×105개의 격자수가 해석에 적합한 것으로 판단하였다.
3.2 반응 모델 및 연료 표면 경계설정 검증 해석 조건
Table 1에 반응 모델 및 연료 표면 경계설정 검증 해석에 대한 수치해석 조건을 요약하였다. 시뮬레이션 중 유동의 최대 마하수가 0.2를 넘지 않으므로 압력 기반 솔버를 사용하였고, 압축성 효과는 고려하지 않았다. 또한, 앞서 언급한 바와 같이, 수치해석 모델의 검증을 위해 Ciezki 등[6]의 실험 조건에 맞춰 공기와 연료 유량을 적용하여 해석을 수행하였다.
Table 1.
Numerical setup for validating the CFD analysis model.
3.3 반응 모델 및 연료 표면 경계설정 검증 해석 결과
수치해석 모델의 검증을 위해, 해석 결과를 Ciezki 등[6]의 실험 데이터와 비교하였다. 비교는 유동장과 온도장에 초점을 맞추어 진행되었으며, 혼합에 의해 확장되는 외부 영역 경계의 y축 방향 확장 거리를 추가로 분석하였다.
Fig. 5는 축 방향 거리(x/H)에 따른 외부 영역경계의 y축 방향 확장 거리를 보여준다. 외부 영역은 혼합이 일어나지 않은 즉, 공기의 질량 분율이 1인 영역으로 계산되었다. 외부 영역의 경계면을 선형화하여 실험 결과와 비교하였다. 시뮬레이션 결과, NPCM이 EDM보다 실험 데이터와 더 높은 일치도를 보였으며, 경계조건의 변화는 큰 차이를 나타내지 않았다. EDM은 외부 경계지점을 실험 결과보다 과대 예측하는 경향을 보였으며, 이는 NPCM이 연료와 공기의 혼합 과정을 보다 정확하게 모사할 수 있음을 시사한다.
x/H=5.0 지점에서 x축 및 y축 방향 속도를 무차원화 하여 비교한 결과를 Fig. 6에 정리하였다. Ciezki 등[6]의 속도 실험결과는 x축 방향 속도에서는 최대 약 25%, y축 방향 속도에서는 최대 약 50%의 오차범위를 가진다. Fig. 6(a)에서 확인할 수 있듯이, 모든 반응 모델과 경계 조건에서 x축 방향 속도가 실험 결과와 매우 잘 일치함을 보였다. 반응 모델과 경계 조건 변화 간의 큰 차이를 나타내지 않았다. 이에 비해, Fig. 6(b)에서 y축 방향 속도는 모든 모델에서 실험 결과와 잘 일치하지 않는 것을 확인하였다. 이는 실제 난류의 복잡한 유동을 2D 시뮬레이션 및 해당 난류 모델에서 충분히 반영하지 못한 결과로 해석된다[19].
Fig. 7에서는 x/H=14.5 에서 모델에 따른 온도 분포를 비교하고자 한다. 모든 모델에서 y/H가 증가함에 따라 온도 분포가 약 2500 K에서 공기 온도인 800 K로 감소하는 경향을 확인할 수 있다. Ciezki 등[6]은 coherent anti-stokes raman scattering(CARS)를 통해 가스의 국부 온도를 측정하였다. 실험에서의 온도 측정 오차를 고려했을 때, 본 연구의 온도 분포 예측치와 실험치가 매우 잘 일치함을 알 수 있다. 특히, 앞서 언급한 속도장 결과와 마찬가지로, NPCM이 EDM에 비해 실험 결과와 더 잘 일치하는 경향을 보였다. 이는 NPCM이 확률밀도함수 기반의 접근 방식을 통해 난류 특성과 화학 반응을 더 정밀하게 모사할 수 있기 때문으로 분석된다[13].
Table 2에 각 모델과 경계 조건에 따른 실험 결과와의 평균 상대 오차율과 평균 제곱근 오차(root mean square error, RMSE)를 제시하였다. V/U0를 제외한 결과에서, NPCM이 EDM보다 더 낮은 오차율을 보였다. 특히, 외부 영역 경계의 y축 방향 확장 거리 결과(w(x)/H)는 NPCM이 벽+소스 조건을 적용했을 때, 평균 상대 오차율 1.9%, 평균 제곱근 오차 0.014 이하의 매우 낮은 오차를 나타내었다. 또한, 온도 예측에서도 상대 오차율 9.8% 이하로 EDM보다 낮은 오차를 보였다. 이를 통해 NPCM이 EDM보다 유동 및 연소장을 더 정확하게 예측할 수 있음을 확인하였다. 또한, NPCM을 적용한 두 가지 경계 조건 중 벽+소스 조건이 U/U0를 제외한 모든 항목에서 질량 유량 입구 조건보다 더 낮은 오차율을 보였다.
Table 2.
Mean relative error(%) and RMSE of predictions from NPCM and EDM models with different boundary conditions against experimental measurements.
이와 같이 실험 결과와의 정량적 비교를 통해, NPCM과 벽+소스 경계 조건을 적용한 해석 모델이 고체연료의 열분해 및 연소를 모델링 함에 있어 가장 적합한 것으로 판단되었다.
4. 입구 조건에 따른 매개변수 연구
4.1 공기 입구 조건에 따른 매개변수 해석 조건
입구 조건 변화가 고체연료의 연소 특성에 미치는 영향을 분석하기 위해 앞서 검증된 반응 모델과 경계 조건을 바탕으로 공기 질량 유속과 온도 변화를 고려한 매개변수 연구를 수행하였다. 고체연료 램제트는 입구 조건에 따라 후퇴율과 연료 유량이 변하지만, 본 연구는 고체연료 램제트의 성능 해석에 관한 예비 연구로서 실험 조건을 기준으로 후퇴율과 연료 유량을 고정하여 해석을 진행하였다. 해석 형상과 격자는 3장에서 해석 모델 검증을 위해 사용한 형상과 격자계를 그대로 차용하였다. 최종적으로, 입구 조건에 따른 해석 조건을 Table 3에 정리하였다.
Table 3.
Numerical setup for different inlet parameters based on the validated CFD model.
4.2 공기 입구 조건에 따른 매개변수 연구 결과
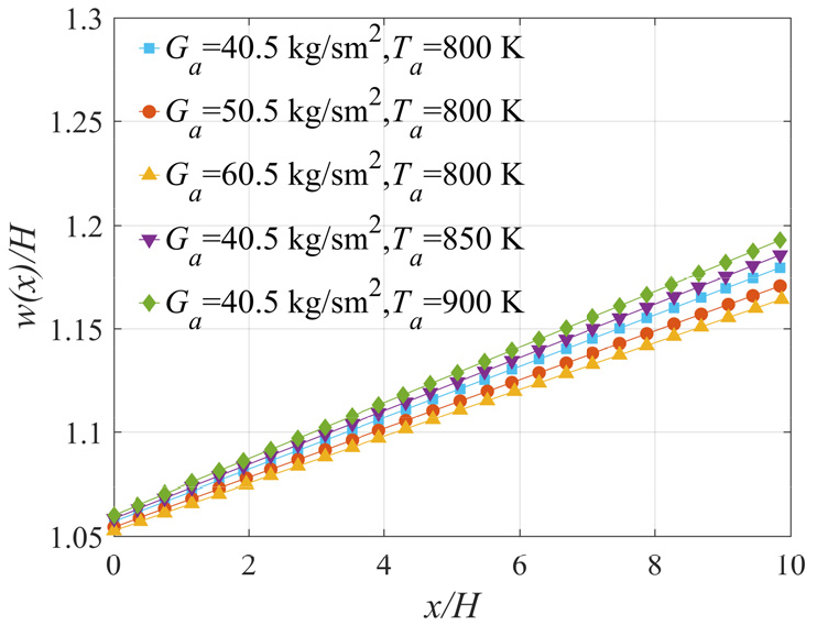
앞서 검증한 NPCM과 벽+소스 경계 조건을 적용하여, 공기의 유량과 온도 변화에 따른 시뮬레이션을 수행하였다. Fig. 8은 조건별 외부 영역 경계의 y축 방향 확장 거리를 나타낸다. 공기 온도가 증가할수록 외부 영역 경계의 수직 방향 확장 거리는 증가하는 반면 질량 유속이 증가할수록 외부 영역 경계의 수직 방향 확장거리는 전반적으로 감소하는 경향을 보인다. 이는 공기 온도가 증가하면 유동의 열팽창이 증가하여 y축 방향 확장이 더욱 빨라지기 때문이다. 반면, 질량 유속이 증가할 경우 유동의 속도 증가로 인해 x축 방향으로의 유동의 관성력이 커져 y축 방향 확장이 억제되기 때문으로 해석된다.
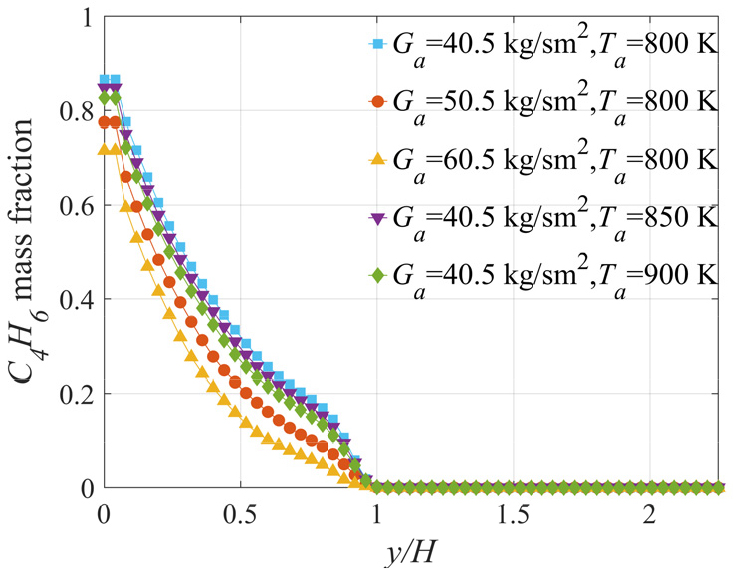
x/H=0.25에서의 y축 방향 위치에 따른 C4H6의 질량 분율을 Fig. 9에 제시하였다. 일반적으로 고체연료 표면에서 멀어짐에 따라, 연소와 혼합으로 인해 C4H6의 질량 분율이 빠르게 감소하였다. 또한, 공기의 질량 유속과 온도가 증가할수록 고체연료 표면에서의 C4H6 질량 분율 감소량이 증가하는 경향을 확인하였다. 특히, 가장 높은 질량 유속 조건(Ga=60.5 kg/sm2, Ta=800 K)에서 공기와의 혼합과 반응 속도의 증가로 인해 연료가 가장 빠르게 소비됨을 알 수 있다. 또한, 흡입 공기의 온도가 높을수록 연료의 감소율이 증가하는 것을 확인했다.
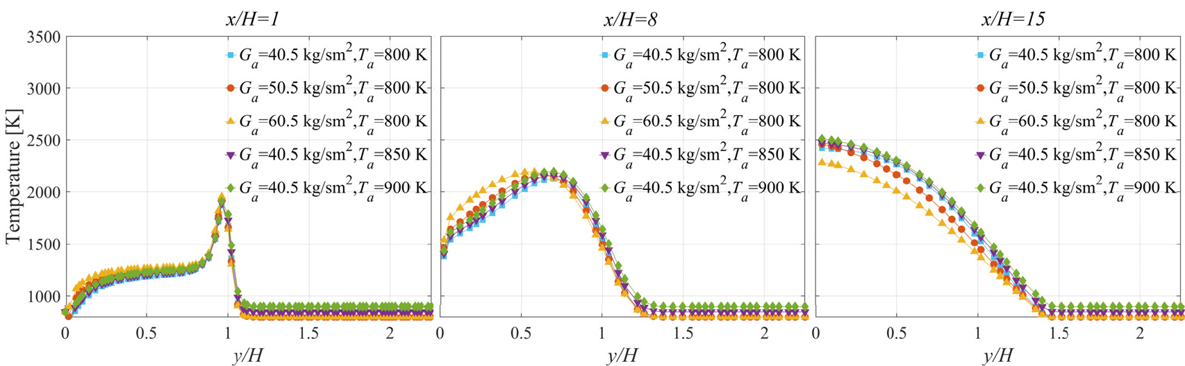
Fig. 10은 x/H=1, 8, 15지점에서의 y/H에 따른 온도 분포를 비교한다. x/H=1지점에서는 입구 조건과 관계없이, y/H=1 근처에서 온도가 2000 K까지 증가한 후 빠르게 감소하는 유사한 경향을 보인다. 또한, 연소실 하류에서는(x/H=8, x/H=15) 고온 온도영역이 열전달과 연소 가스의 혼합에 의해 벽면으로 이동하였다. x/H=15에서, 벽면에서 최대 온도에 도달함을 확인할 수 있다. 이는, 연소실 하류에서 경계층이 발달함에 따라 고온 영역이 확장됨을 나타내는데, 하류로 갈수록 연료와 산화제의 혼합이 충분히 이루어지면서 연소 영역이 확장되는 것으로 해석된다. 추가적으로, x/H=1에서는 입구 조건의 변화에 따른 온도 프로파일의 차이는 크게 나타나지 않은 반면, x/H=8 지점에서는 공기의 유량이 증가할수록 고체연료 표면 근처에서의 온도가 전반적으로 증가하는 경향을 보였다. 공기 온도가 증가할수록 연소실의 전체적인 온도 또한 상승하였다. 하류 지점(x/H=15)에서는 공기의 유량이 증가함에 따라 온도는 감소하는 양상을 보였다.
x/H=1, 8, 15지점에서 반응 생성물인 CO와 CO2의 질량 분율을 Fig. 11에 각각 나타내었다. x/H=1 지점을 살펴보면, CO의 질량 분율이 약 1200 K에서 급격하게 증가한 후, 1800 K까지 점진적으로 증가한다. CO는 주로 1200~ 1800 K의 온도 범위에서 연료의 열분해 반응을 통해 생성되며, 주요 반응식은 다음과 같다[20,21].
x/H=1 지점에서의 CO 생성은 화염 안정성을 유지하는데 기여한다[20]. 또한, 공기의 질량 유속과 온도가 증가할 때, 반응 속도의 증가로 인해 CO의 질량 분율이 증가하는 경향을 보인다. x/H=8 지점에서는 저온 구간에서 생성된 CO가 1800 K 이상의 고온 구간에서 대부분 CO2로 빠르게 산화된다. 이러한 경향은 공기의 질량 유속과 온도가 증가할수록 더욱 명확하게 나타난다. 이는 연소 효율과도 밀접하게 관련된다. x/H=15에서는 생성된 CO가 대부분 산화되어 CO2의 질량 분율이 높아지고 CO의 질량 분율이 감소함을 확인하였다. 온도는 주로 CO2생성이 활발한 y/H=0 부근에서 최대값을 갖는다.
5. 결 론
본 연구에서는 EDM 및 NPCM 반응 모델과 질량유량입구, 벽+소스 경계 조건을 적용하여 고체 램제트용 연료의 열분해 및 연소 거동에 대한 반응 유동 해석을 수행하였다. 이를 선행 실험 결과와 비교하여 가장 높은 일치율을 보이는 해석 모델을 선정하였다. 이후 공기 입구 조건을 변화시키면서 공기의 질량 유속 및 온도 변화가 고체연료의 연소 특성에 미치는 영향을 분석하였다. 해석 모델 검증 결과, NPCM과 벽+소스 경계 조건을 적용했을 경우 외부 영역 경계의 y축 방향 확장 거리에서 평균 상대 오차율과 평균 제곱근 오차는 각각 1.9%, 0.014로 나타났다. 온도 예측에서는 각각 9.8%, 188 K의 오차를 보였다. 이를 통해 NPCM이 EDM보다 유동 및 연소장 예측 측면에서 더욱 적합함을 확인하였다.
매개변수 연구 결과, 공기 온도가 증가할수록 외부 영역 경계의 수직 방향 확장 거리는 증가하는 반면, 공기의 질량 유속이 증가할수록 수직 방향 확장 거리는 감소하는 경향을 확인하였다. 또한, 공기 유속이 증가하면 연소실 상류에서 연료와 공기의 혼합이 촉진되어 연소 속도가 빨라지면서 CO의 질량 분율이 증가한다. 연소실 하류에서는 높은 공기 유속에 의해 다량의 CO가 CO2로 산화되고, 이 과정에서 반응 열이 방출되어 연소 가스 온도가 상승하게 된다.
본 연구의 결과는 고체연료 램제트 성능 해석을 위한 모델 개발 및 연소기 설계에 필요한 기초 자료로 활용될 수 있을 것으로 기대된다. 특히, 현재 본 연구 결과를 바탕으로 상용 전산유체역학 소프트웨어와 사용자 정의 함수를 활용하여 고체연료 램제트의 성능(연료 후퇴율, 연소 효율 등)을 예측할 수 있는 해석 모델을 구현하는 연구를 진행 중이다. 향후에는 이 해석 모델의 예측 결과를 실제 하이브리드 로켓 및 고체연료 램제트 실험 결과와 비교하여 모델의 신뢰성을 평가할 예정이다.













