Nomenclature
1. 서 론
2. 수치방법
2.1 지배 방정식
2.2 상태 방정식
2.3 적응형 격자 기법
2.4 오일러리안-라그랑지안 변환
2.5 분열 모델
2.6 수치기법
3. 결 과
3.1 계산 도메인
3.2 유동 구조
3.3 침투 깊이
3.4 1차 분열
3.5 2차 분열
4. 결 론
Nomenclature
: parent droplets radius
: speed of sound
: injector diameter
: sauter mean diameter(SMD)
: droplet diameter
: energy
: gravity acceleration
: enthalpy
: mass
: number of parcels
: pressure
: momentum flux ratio
: heat flux vector
: gas constant
: reynolds number
: radius
: liquid
: source term
: temperature
: taylor number
: time
: velocity vector
: crossflow velocity
: volume
: weber number
: breakup length in the direction of crossflow
: mass fraction
: ohnesorge number
𝛼 : sphericity
𝛽 : concentration restriction
𝛿 : shock standoff distance
: kronecker delta
𝜆 : wavelength
𝜇 : viscosity
𝜌 : density
𝜎 : surface tension
: viscous stress tensor
1. 서 론
공기흡입식 엔진(가스터빈, 램제트, 스크램제트)은 횡단류에서 액체연료를 분사하여 연소를 진행하며 현대적인 추진 시스템 분야에서 핵심적인 역할을 한다. 스크램제트 엔진의 초음속 연소실은 액체 연료 분사 이후 분열, 분무, 증발로 인하여 빠른 혼합 및 연소 과정을 거친다. 이러한 과정은 연소 효율을 높이는데 중요하며 엔진의 크기와 무게를 줄이는데 기여할 수 있다.
초음속 횡단류에서의 액체 연료 분사는 실험적, 이론적, 계산적 연구가 이전부터 수행되었다. Nejad 등[1]은 점도와 표면장력이 변함에 따라 액체 제트 분열 과정을 관찰하기 위해 실험 연구를 수행하였다. 점도가 증가할수록 파장이 짧아지고, 표면장력이 감소하여 1차 분열을 촉진하였다. Sun 등[2]은 나노입자 기반 평면 레이저 산란(NPLS) 기술을 이용하여 q를 기반으로 한 수정된 침투깊이 식을 제안하였다. Sallam 등[3]은 층류 조건에서 액체 제트 표면에서 Rayleigh-Taylor 불안정성을 확인하고 We에 대한 표면 파장 상관식을 제시하였다. Lee 등[4]은 난류 조건에서 We에 따른 액체 물의 분열 길이를 측정하였다. 난류가 있는 경우 액체 기둥의 분열 시간과 거리가 더 짧으며 분열을 촉진하였다.
실험에서 복잡한 유동 측정과 작은 액적의 이동을 관측하는데 어렵기 때문에 CFD 시뮬레이션이 수행되고 있다. Hagen[5]은 층류, 난류에 대한 초음속 횡단류 분사로 침투깊이, 분열길이, 충격파와의 액주거리에 대한 비교를 진행하였다. Yoo 등[6]은 2상 유동에 대한 Coupled Level Set Volume Of Fluid(CLSVOF) 추적 기법을 통해 밀도 차이에 의해 발생하는 표면 불안정성을 실험과 비교 하였다. Zhao 등[7,8,9]은 DDES 알고리즘을 이용하여 CLSVOF 방법과 Lagrangian Particle Tracking(LPT) 방법을 결합하고 Adaptive Mesh Refinement(AMR)기법을 사용하여 계산부하를 줄였다. 혼합 분사, 이중 분사를 통해 침투깊이 향상을 중점으로 연구를 진행하였다. Yoo 등[10]은 라그랑지안 입자들을 사용하여 다양한 온도, q에 따른 침투깊이와 SMD를 제시하고 이를 예측하는 식을 제안하였다.
본 연구에서는 압축성 다상 유동 수치해석을 위한 균일 혼합 모델에 기반한 초음속 횡단류에서의 액체 물의 분무 과정을 조사하였다. 효율적인 계산을 위해 적응형 격자 기법과 오일러리안-라그랑지안 변환 방법을 사용하였다. 오일러리안 필드는 인위적인 모델 없이 액체 기둥의 분열진동을 직접모사하고, 분열에 의해 생성된 액적들은 라그랑지안 입자로 변환된다. 액체 제트의 전면에서 발생하는 충격파와 후류에서 형성되는 와류를 관찰하고 침투깊이, 분열길이, 액적 분포를 분석하였다.
2. 수치방법
2.1 지배 방정식
3차원 비정상 Navier-Stokes 방정식은 유한체적법(FVM)을 사용하여 표현될 수 있다. 균질 혼합 모델은 액체와 기체 간의 경계를 무시하고, 균일하게 혼합되어 있다고 가정한다. 이를 바탕으로 지배방정식은 질량, 운동량, 에너지 및 화학 종의 보존으로 Eq. (1), (2), (3), (4)에 나타난다. 추가적인 다상 간의 양방향 결합을 나타내는 소스항은 Eq. (5) ~ Eq. (6)과 같다.
난류 모델은 WALE 모델[11]을 사용하였고 난류 점성 계수는 Eq. (7) ~ Eq. (8)로 적용된다.
2.2 상태 방정식
액체와 기체 상태의 방정식을 나타내기 위해 액체 상에는 Noble-Abel Stiffened Gas(NASG) EOS[12]를 적용하였다. NASG EOS는 미분이 간단하며 상대적으로 넓은 압력과 온도 범위에서 적합하게 사용할 수 있다. Eq. (9), (10), (11)에 나타난 매개변수는 유체의 열역학적 특성을 나타내는 상수 계수이다.
2.3 적응형 격자 기법
적응형 격자 기법은 격자의 효율성과 정확성을 향상시키기 위한 기법으로, 계산 영역 내 특정 영역에서 동적으로 격자를 조정하는 방법이다. 계산 영역 전체에 균일하고 세밀한 격자를 적용하면 불필요하게 많은 계산 자원이 소모되지만 적응형 격자 기법을 사용하면 필요한 부분에만 집중적으로 사용할 수 있다. 위의 기법을 적용한 방법은 다음과 같다. 초기격자 하나의 셀(cell)은 각각의 면(face)을 가지며 면은 여러 개의 선(edge)들로 구성되어 있다. 두 점을 연결하여 선을 생성하고, 면을 공유하는 중복된 선을 제거한다. 선, 면, 셀의 중심에 새로운 점을 추가하여 선을 연결하고, 기존의 단일 면을 여러 개의 작은 면으로 세분화한다. 이를 통해 셀 구조가 복잡해지고, 면은 다수의 작은 선으로 변경된다. 셀에 저장된 원시 변수는 새롭게 생성된 격자에 동일한 값으로 재분배되고 격자를 합치는 과정에서는 변수 값의 부피 평균값으로 변환되어 계산된다. 이러한 기준은 밀도와 압력의 기울기(gradient)를 기반으로 설정된다. 각 프로세서가 담당하는 격자 영역 간의 불균형은 동적 부하 균형(dynamic load balancing)을 활용하여 균등하게 분배된다[13].
2.4 오일러리안-라그랑지안 변환
균질 혼합 모델은 오일러리안 필드에서 정의가 되어 작은 입자들을 모두 해석하는데 과도한 계산 비용이 발생한다. 이러한 문제를 해결하기 위해 2차 분열로 생성된 입자들은 라그랑지안 영역으로 전환시키는 오일러리안-라그랑지안 변환 기법을 적용하였다[14]. 변환 기준은 Eq.(12), (13), (14)로 결정된다. 변환 기준은 액체 그룹의 크기, 액체의 구형상을 고려하며 m과 은 4로 설정된다. 라그랑지안 입자의 과도한 생성을 방지하기 위해 액체 입자의 체적 분율을 나타내는 𝛽을 사용한다. 이렇게 변환된 라그랑지안 입자는 오일러리안 필드에서의 운동량과 에너지를 전달 받게 된다.
2.5 분열 모델
액적은 횡단류와의 상호작용으로 불안정성을 겪으며 분열이 일어나는데 Kelvin-Helmholtz(KH) 및 Rayleigh- Taylor(RT) 분열 모델[15]을 사용한다. 사용된 파장(𝛬)과 성장률(𝛺)은 Eq. (15), (14), (15), Eq. (18)와 같다.
2.6 수치기법
다상 유동의 특성상 상 경계 근처의 큰 밀도차이에 의해 수치적 진동이 발생하는데 이를 위해 질량 플럭스 항에는 Harten-Lax-van Leer(HLLC), 압력 플럭스 항에는 Simple Low-Dissipation AUSM2(SLAU2) 기법을 사용하였다. 고차 재구성 기법에는 van-Leer limiter가 사용되었다. 상 경계면에서 수치 확산을 방지하기 위해 Mass Fraction Technique for Advection and Capturing of Surfaces(MSTACS) 기법을 적용하였다[13]. 모든 수치해석 기법은 자체 개발한 코드 MASCH(Multiphysics-All- Speeds CFD by HPCL)에 구현되었다.
3. 결 과
3.1 계산 도메인
3차원 직사각형 도메인은 [0.0D, 100.0D]×[0.0D, 14.0D]×[0.0D, 16.0D] 크기로 Fig. 1에 나타난다. 액체 인젝터는 입구 경계에서 6.7D 하류에 위치한다. 전체 격자 수는 3.8×106 개로 구성한다. 입구 속도 분포는 Fig. 2의 실험데이터를 기반으로 사용하였으며 Z=0에서 추출하였다. 초음속 횡단류는 마하수 2.0, 정압력과 정온도는 각각 29 kPa, 300 K 이다. 액체는 물을 사용하고 횡단류 유동은 공기이며 분사 속도, 온도는 22.6 m/s, 300 K이며 액체-기체의 모멘텀비 q는 3.35 이다. 초음속 입구 및 출구 조건을 부여하고, 바닥은 벽조건을 적용한다.
3.2 유동 구조
횡단류 유동에 분사되는 액체 제트의 유동 구조를 살펴보기 위해 유선을 Fig. 3에 나타내었다. 액체 기둥 전방에서는 경계층 분리가 발생하며 후방에서는 액체 제트와 횡단류의 상호작용으로 인해 강한 재순환 흐름이 관찰된다. 이러한 흐름은 말굽 모양 소용돌이(horse-shoe vortex), 와류(wake vortex), 반회전 소용돌이 쌍(counter-rotating vortex pair, CVP)과 같은 다양한 소용돌이를 발생시키며 Fig. 3(a)에 나타난다. 액주에서 떨어져 나온 리거먼트(ligament) 주변에서도 소용돌이 구조가 생성된다. 액체 기둥 주변을 흐르는 횡단류의 속도 벡터는 밀도 및 압력 기울기로 인해 방향이 아래쪽으로 바뀌며, 이는 액체 후류 현상(liquid trailing phenomenon)[16]이라 하며 이는 Fig. 3(b)에서 관찰된다. 격자는 압력과 밀도의 큰 변화가 있는 영역에서 정밀하게 세분화된다. Fig. 4(a)는 AMR을 사용하지 않고 최소 격자 크기가 100 인 액체, 기체 경계면을 보여준다. 이후 Fig. 4(b)는 AMR이 적용되면서 충격파와 액주 표면의 상 경계면, 표면 불안정성으로 인한 물결 모양의 표면, 리거먼트 주변에서 격자가 조밀해진다. Fig. 5는 Z=0에서 추출한 마하수와 압력으로 표현한 액주와 액적의 분포를 나타내었으며 장애물 역할을 하는 액주에 의해 앞단에는 경계층 분리(boundary separation)가 발생한다. 액주에 의해 활 모양 충격파(bow shock), 경계층에 의해 분리 충격파(separation shock)가 발생한다.
3.3 침투 깊이
Fig. 6은 실험적 상관식[17]과 수치 해석을 통해 얻은 침투 깊이를 비교한 결과이다. 검은색 실선은 실험적 상관식, 파란색 실선은 Hagen 연구진의 수치결과[5], 주황색 실선은 현재 결과이다. 침투 깊이에 대한 실험적 상관식은 Eq. (19)로 나타난다. 본 연구의 결과는 모멘텀 비와 위치에 대한 실험적 상관식(ghenai)과 유사하다.
3.4 1차 분열
액체 기둥의 파장, 분열길이, 충격파와의 거리에 대한 정의는 Fig. 7에 나타내었다. Rayleigh-Taylor 불안정성은 액체 기둥의 앞면과 뒷면 사이의 큰 압력차로 인해 발생하는 유동의 가속에 의해 발생한다. 이렇게 측정된 파장, 분열길이, 충격파와의 거리는 Z=0에서 추출되었다. 불안정성의 파장은 Fig. 8에 나타내고 Sallam 등[3]의 실험결과를 Effective Weber number에 대해 비교하였다. 본 연구의 결과는 실험 데이터의 기울기인 와 유사한 경향을 보인다. Fig. 9는 Lee[4]의 실험 데이터이며 We에 대한 물의 분열 길이를 보여주며 본 연구의 결과는 =428의 약 4.97로 나타난다. Fig. 10은 Liepmann과 Roshko 등[18]의 실험 데이터와 Xiao 등[6]의 수치 데이터를 비교하여 𝛿와 마하 수의 관계를 보여준다. 본 연구 결과는 마하 수와 𝛿는 각각 약 1.61과 0.945로 나타난다.
3.5 2차 분열
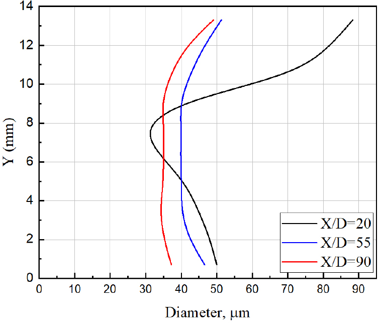
액적의 분포를 파악하기 위해 특정 위치인 X/D = 20, 55, 90에서의 SMD() 분포를 Fig. 11에 나타내었다. 위치에 따른 SMD 분포는 후방으로 갈수록 분열이 일어나서 직경이 줄어들고 분포면적이 더 퍼짐을 알 수 있다. 큰 입자들은 초기에는 대부분 상부에 위치해 있지만 후방으로 갈수록 횡단류의 영향으로 넓은 영역에서 관찰된다. Fig. 12는 Z평면을 포함한 Y축에 대한 평균 액적 직경을 위치에 따라 나타내었다. 앞 단 위치의(X/D=20) 상부(Y=10~14 mm)에 큰 입자(70~90 )가 많이 분포하며 후방으로 이동할수록 직경 크기가 줄어들지만 중간 부분(Y=6~10 mm)은 반대 현상이 나타난다. 이는 액주 주위에서 나타나는 반회전 소용돌이 쌍(CVP, Fig. 3(a))과 액체 후류 현상(liquid trailing phenomenon, Fig. 3(b))에 의해서 관성력이 큰 입자가 유동의 하류로 이동하게 되기 때문이다. 후방으로 갈수록 액적 분열이 일어나고 Y축에 따른 액적 직경들이 균일하게 분포하여 액적 직경 평균은 51.22 에서 38.78 로 24.44% 감소한다.
4. 결 론
마하수 2.0의 초음속 공기 횡단류에서 액체 물의 분열을 분석하기 위해, 압축성 다상 유동에 대한 수치해석을 연구하였다. 균질 혼합물 모델로 표현되는 지배 방정식은 기체와 액체를 모두 다룰 수 있으며 액체상에는 NASG 상태방정식을 적용하였다. 상 경계 부근에서는 고해상도 해석을 위해 AMR과 계산 부하를 줄이기 위해 오일러리안-라그랑지안 변환법을 도입하였다. 이를 통해 리거먼트 및 액적으로 분열되는 과정을 높은 정확도로 예측할 수 있었다. 액체 제트와 초음속 횡단류의 상호작용으로 나타나는 복잡한 충격파와 다양한 와류 구조도 함께 관찰되었다. 액체 제트의 침투 깊이, 분열 길이, 파장, 충격파와의 거리 등 기존의 실험 결과와 유사한 경향을 보였다. 액적 분포는 후방으로 갈수록 큰 입자는 반회전 소용돌이 쌍 및 액체 후류 현상에 의해 상부에서 중부로 이동하며 직경은 24.44% 감소하였다.














