1. 서 론
2. 실험장치 및 방법
2.1 전자-기계식 점화안전장치 작동 원리 및 구성
2.2 시험장치 및 시험 조건
3. 결과 및 토의
3.1 진동 및 온도 조건에서 장전 시간 분석(TEST 1)
3.2 장전 전압과 온도 저장 조건에 따른 장전 시간 분석
4. 결 론
1. 서 론
고체 로켓 추진기관은 간단한 구조와 저렴한 제작 비용, 용이한 저장성 등의 장점으로 대부분의 무기체계에 활용되지만, 우발점화 시 막대한 피해가 발생할 수 있다. 이에 따라 정전기, 전자파 등 외부 신호에 반응하지 않고, 계획된 동작 순서와 필요 입력 조건이 충족될 때 추진기관을 점화시키는 점화안전장치(arm-fire device: AFD) [1,2,3,4,5] 개념이 도입되었다.
점화안전장치는 원샷 디바이스(one-shot device)로 수 십년 이상 장기 보관 가능 및 초기 성능이 보장되어야 한다. 이러한 점화안전장치는 장전(arm)과 기폭(fire) 방식에 따라 전기-기계식[6], 전자-기계식[7], 전자식[8]으로 구별하며 각각의 장전 방식은 다음과 같다. 전기-기계식 점화안전장치는 솔레노이드를 전기적으로 구동시켜 장전을 하며 전원이 차단되면 내장된 인장스프링에 의해 솔레노이드는 안전(safe)상태로 복귀한다. 전자-기계식 점화안전장치의 장전은 토크모터 회전을 통해 전기식 기폭관과 격벽착화기를 정렬시켜 전기적 기폭신호에 의해 기폭화력이 방출될 수 있는 상태를 말한다. 안전상태에서는 외부에서 기폭신호가 인가되어도 기폭관에 입력되지 않도록 차단된다. 장전신호가 입력되어 토크모터가 회전하면 광센서를 통해 이를 감지하여 신호 차단을 해제한다. 따라서 점화안전장치의 장전 메커니즘 분석은 기계적인 기폭화약 정렬 안정화 뿐만 아니라, 회로적인 안전회로 해제까지 고려되어야 한다. 전자식 점화안전장치의 장전은 전기적 스위치에 전원을 공급하는 방식으로 기구적 구동품이 없이 오직 전자회로를 이용하여 장전을 수행한다.
전기-기계식 점화안전장치의 경우 장전 기능 신뢰도 개선[9-10] 등의 연구가 수행되었지만, 전자-기계식 점화안전장치의 경우 개발 당시 토크모터 최적화 등의 연구를 수행한 사례는 있지만 장전 메커니즘 연구 사례는 거의 없다. 따라서 본 연구는 이러한 한계점을 보완하기 위해 온도와 진동 환경에서 장전 시간을 측정하고 다양한 장전 전압과 온도 조건에서 장전 시간 및 장전 파형을 분석하여 장전 메커니즘 연구를 수행한다.
본 연구의 목적은 다양한 온도 조건에서 점화안전장치를 운용하여 작동성 검증을 수행하며 장전 시간과 장전 파형 분석을 통해 장전 메커니즘을 연구한다.
2. 실험장치 및 방법
2.1 전자-기계식 점화안전장치 작동 원리 및 구성
Fig. 1는 전자-기계식 점화안전장치 구성으로 Fig. 1(a)는 내부 형상, Fig. 1(b)는 LATM(limited angle torque motor)의 구조이다. Fig. 1(a)의 전자-기계식 점화안전장치 작동 방식은 다음과 같다. 장전 신호 28 V는 점화안전회로(ignition safety circuit)에 인가되어 토크모터(torque motor)가 60° 회전하여 안전(safe)상태에서 장전(arm)상태로 전환된다. 안전상태는 전기식 기폭관(electric detonato)와 격벽착화기(thru-bulkhead initiator, TBI)가 비정렬 상태이지만, 토크모터가 60° 회전하며 전기식 기폭관과 격벽착화기가 정렬상태로 전환된다. 따라서 전기식 기폭관과 격벽착화기가 비정렬상태를 안전상태로 정의하며, 토크모터가 60° 회전하여 기폭관과 격벽착화기가 정렬상태가 되는 것을 장전상태로 정의한다.
장전전압 인가 후 토크모터가 60° 회전하여 장전상태(전기식 기폭관과 격벽착화기 정렬)가 되면 10 A의 기폭신호 인가 즉시 전기식 기폭관이 작동하며 연쇄적으로 격벽착화기가 작동하고 점화제(BKNO3)가 기폭되며 고온/고압 가스가 분출된다.
Fig. 1(b)는 점화안전장치에 적용된 LATM는 제한된 각도의 토크를 제공하는 전자기 액츄에이터로 전기 신호를 회전자의 제한된 회전으로 변환하는 장치이다. LATM은 개발 당시 최적화 연구를 통해 적층 길이, 최외경, 최대 전류, 코일 직경 조건에서 토크를 최대화할 수 있는 전기자 권선의 턴수, 코어의 두께, 회전자 외경, 코일 각도를 얻도록 설계하였다.
2.2 시험장치 및 시험 조건
본 시험은 두 가지 MIL-STD에 준하여 환경 시험을 수행하였으며 이를 Table 1에 나타내었다. TEST 1은 온도저장 중 진동 인가 시 장전시간을 계측하는 시험이며 TEST 2는 온도 저장 중 장전시간을 계측하는 시험이다.
Table 1
Environmental testing conditions for the Arm-fire Device(AFD).
| TEST 1 | TEST 2 | |
| AFD* | 2 EA | 11 EA |
| Temperature | -32, +25, +40℃ | -66, -32, +25, +40, +70℃ |
| Vibration | 15.35 Grms | - |
| Voltage | 28 V | 22, 28, 34 V |
첫 번째 시험(TEST 1)은 여러 온도 조건에서 진동을 인가하는 시험으로 ‘MIL-STD-810G w/Change 1, METHOD 514.7D Category 16’에 준하며, 두 개의 점화안전장치를 이용하여 시험한다. 시험은 -32℃에서 2시간 저장 중 15.38 Grms의 가진 레벨로 진동을 15분 인가하고 이후 +40℃까지 온도를 증가시켜 2시간 저장 중 15.38 Grms 가진 레벨로 15분 진동 인가 후 상온으로 온도를 시험이 종료된다. 장전 시간 측정은 시험 전(상온), -32℃에서 진동 인가 시, +40℃에서 진동 인가 시, 시험 후(상온) 총 4회 장전 시간을 점검 장비로 측정한다. 해당 환경시험 규격에 의해 3축 (x-축, y-축, z-축)에 모두 수행한다.
두 번째 시험(TEST 2)은 ‘MIL-STD-810G’에 준하여 고온 운용(+40℃의 온도조건, MIL-STD-810G w/Change 1, METHOD 501.6 절차 II)과 저온 운용(-32℃의 온도조건, MIL-STD-810G w/Change 1, METHOD 502.6 절차 II)에 더해 가혹 온도 조건(-66℃, +70℃)을 선정하여 총 다섯 가지 온도 조건에서 시험을 수행한다. 점화안전장치는 총 11개로 각 온도 조건에서 최소 6시간 이상 저장한 후 시험을 수행한다.
Fig. 2는 시험 장치 구성이다. 온도와 진동을 동시에 인가할 수 있는 챔버에 전자-기계식 점화안전장치를 시험대 위에 장착하며 진동 시험을 위한 축은 Fig. 2과 같이 정의한다. 점화안전장치 상단에는 케이블을 장착하여 장전 전압과 장전 시간을 측정에 사용한다.
장전 시간 계측은 두 가지 기법을 활용한다. 첫 번째로 Fig. 2(a) 점검 장비(inspection equipment)로 장전시간을 측정한다. 점검 장비의 인가전압(input voltage)은 28 V로 온도와 진동 환경시험 중 장전 시간을 분석 가능한 TEST 1의 구성이다. 점검 장비는 장전시간 뿐 아니라 점화안전장치 이상 유무를 판단하는 수치를 정량적으로 계측하는 장비이다. 본 연구에서는 측정된 수치 중 장전 시간을 활용한다. 두 번째는 전류 파형 분석 시스템으로 Fig. 2(b)에 나타내었다. 시스템 구성은 전원공급장치(power supply)를 통해 22, 28, 34 V의 인가전압을 점화안전장치에 공급하여 피드백되는 전류(current, A)를 오실로스코프(Oscilloscope)로 전류파형을 계측하며 이를 통해 장전시간을 분석한다. 전류 파형 분석 장치 구성은 온도 조건과 인가전압에 따른 장전 시간을 분석하는 TEST 2의 구성이다.
장전 시간 분석은 Fig. 2(a), (b)의 두 계측장비를 활용하기 때문에 장전시간을 각각 정의해야 한다. 첫 번째로, TEST 1에 적용한 장전 시간 정의는 다음과 같다. 점검 장비 내장 전원공급장치에서 28 V 인가 시 점화안전장치 내 토크모터는 60° 회전하며 장전 과정이 시작되며 60° 완전 회전 시 자기적 특성의 장전 확인 단자가 토크모터와 접촉하며 장전 완료 신호를 출력한다. 점검장비는 장전 확인 단자 작동 시간을 장전 완료 시점으로 분류하고 이를 장전 시간으로 정의한다. 두 번째로, TEST 2에 적용한 방법은 다음과 같다. 전원공급장치를 이용하여 장전 전압 (22, 28, 34 V) 인가 시 토크모터가 동작하며 소비되는 전류를 오실로스코프로 계측하여 전류 파형을 분석한다. 토크모터가 회전 중에는 전류가 증가하는 파형이지만 토크모터가 장전이 완료되면 전류 파형은 일정 값에 도달한다. 일정 값에 도달한 시점을 장전 완료 시점으로 판단하고 이를 장전시간으로 정의한다.
3. 결과 및 토의
3.1 진동 및 온도 조건에서 장전 시간 분석(TEST 1)
Table 2는 온도와 진동 조건에 따른 장전 시간을 계측한 데이터로 시험 항목 및 점화안전장치 수량은 TEST 1에 해당한다. 시험은 z-축, y-축, x-축 순서로 수행하였으며 시험 전, 시험 중(-32℃, +40℃), 시험 후 각각 장전 시간을 측정하여 이를 통해 온도 조건에서 진동 인가 중 장전 시간 변화 경향성 확인하였다. x-축은 길이방향 진동이며 y-축과 z-축은 반경방향 진동 방향이다. 시제 수량은 두 개로 각각 장전 시간을 계측하여 Table 2에 평균 값을 기술하였다. x-축의 +40℃ 장전 시간은 진동 시험장치 결함으로 미수행하였다.
Table 2
Arming time variation under temperature and vibration conditions(TEST 1).
TEST 1의 장전 시간 분석 결과는 다음과 같다. 첫 째로, 모든 장전 시간은 50 ms 이하의 규격 내 수치로 합격 판정임을 확인하였다. 둘째로, y-축, z-축의 장전 시간에서 고온(+40℃) 조건이 저온(-32℃) 조건보다 장전 시간이 지연됨을 확인하였다. 각 축의 시험 전(prior to test) 장전 시간을 각 온도 조건에 따라 비교하였을 때 결과는 다음과 같다. 저온은 x-축에서 장전 시간 지연(3.2 ms)이 확인되며 고온은 y-, z-축 장전 시간 지연(각각 1.65, 4.8 ms)이 확인된다. y-축, x-축은 고온에서 장전 시간 지연이 x-축은 저온에서 장전시간 지연이 확인된다. x-축은 길이방향 진동, y-축, z-축 진동은 반경방향 진동이지만 아직까지 저장 온도와 진동 축 방향의 상관관계는 아직 밝혀진 바 없다. 그러나 저장 온도에 따른 장전 시간 지연은 저장 온도에 따른 토크모터 동작성에서 기인하는 것으로 유추된다. 토크모터는 전기자 권선에 전류가 인가되어 영구자석과의 상호작용으로 회전하는데, 이때 인가되는 전류에 의해 구리선은 발열이 된다. 발열된 구리선은 도체 내부 분자 운동이 활발해지며 전하 흐름을 방해하디 때문에 열이 발생한다. 구리선은 일반적으로 저온에서 저항이 낮으며, 온도가 증가할수록 저항이 증가한다. 따라서 토크모터의 온도가 저온(-32℃)으로 저항이 낮고 전류가 높아 장전 속도가 빨라지는 것이고 고온(+40℃)은 저항이 크고 전류가 낮아 장전 시간이 지연된다. 이러한 가설을 검증해보기 위해 다양한 온도 조건(-66, -32, +40, +70℃)과 장전 전압(22, 28, 34 V)에 따른 장전 메커니즘을 분석하며 온도에 따른 토크모터 저항을 측정하여 장전시간을 분석한다.
3.2 장전 전압과 온도 저장 조건에 따른 장전 시간 분석
3.2.1 점검장비와 전류 파형을 통한 장전 시간 비교 (TEST 2)
Table 3은 고온(+40, +70℃), 저온(-32, -66℃), 상온 온도 저장 조건에서 점검 장비를 통해 장전 시간을 계측한 데이터로 시험 규격은 Table 1의 TEST 2에 해당한다. 점검 장비의 장전 전압은 2.1장에서 설명한 것처럼 28 V로 일정하게 공급한다. 따라서 본 시험은 28 V의 장전 전압에 대해 다양한 온도 조건에서 장전 시간을 확인하였으며 11개의 점화안전장치의 평균 값을 표기하였다.
다양한 온도 조건에서 점검 장비를 통해 측정한 장전 시간은 다음과 같다. 상온에서 장전 시간을 21.7 ms 기준으로 고온에서 장전 시간은 각각 21.9 ms, 22.6 ms으로 증가하는 경향이며, 저온에서는 각각 19.3 ms, 18.5 ms으로 감소하는 경향성이다. 이는 Table 2의 TEST 1결과와 일치하는 경향이다. 온도 증가에 따라 장전 시간이 지연되고 온도가 감소할 수록 장전 시간 감소를 확인하였다. 이후에는 상온 온도조건에서 22, 28, 34 V 전압에서 전류 파형을 통한 장전 시간을 분석하여 전압 세기에 따른 장전 시간 경향을 확인한다.
Table 3
Arming time variation according to the temperature storage conditions(TEST 2).
| Temp.[℃] | Arming time[ms] | |
| Room | +25 | 21.7 |
| High | +40 | 21.9 |
| +70 | 22.6 | |
| Low | -33 | 19.3 |
| -60 | 18.5 | |
Fig. 3는 상온(+25℃) 조건의 장전 전류 계측 데이터이다. 전압은 22, 28, 34 V이며 전류 파형분석을 통해 장전 시간을 분석하며 각 파형에 나타나는 인자들을 정의한다. 붉은색 데이터는 인가전압(input voltage, V)으로 토크모터의 장전 전압(arming voltage)이다. 검정 데이터는 측정 전류(measured current, A)로 토크모터 동작에 소모되는 전류이다. 인가전압 대비 전류 시간 차인 dt는 3 ms 이하로 오실로스코프의 장전 전압 계측 설정에 대한 시간 차이다. 오실로스코프는 토크모터 장전 전압 신호(V)와 토크모터 동작 전류(A)를 각 채널로 계측하는데, 모크모터 장전 전압 신호를 기준 트리거 신호로 일정 레벨에 도달하였을 때 작동하도록 설정하였다. 따라서 트리거 레벨에 따라 토크모터 동작 전류 계측 시점의 미세한 시간 차이 이며 이후에는 전류 파형만을 분석하기 때문에 dt는 분석에서 제외한다.
Fig. 3의 전류 파형을 통한 장전 시간은 다음 같다. 장전 전압이 인가되면 토크모터가 작동하며 장전 과정이 시작되며 60° 회전 후 스토퍼에 의해 정지되며 장전 과정이 종료된다. 60° 회전 후 장전이 완료 Fig. 3의 0.04초 이후 값과 같이 일정한 전류 값이 계측된다. 따라서 장전 완료 시점은 전류 값이 일정하게 계측되는 순간이며 이를 장전 시간으로 정의한다.
토크모터 구성은 Fig. 1(b)에 나타낸 것 처럼 내장되어 있는 영구자석(permanent magnet) 회전운동으로 장전 되며 약 0.9~1.4 A의 전류가 소모된다. 이때 전기자 권선에 전류가 인가되고 영구자석과 상호작용하며 장전 방향(정방향) 회전 시 전류가 상승(기전력 발생 구간)하며 장전 해제 방향(역방향) 회전 시 전류가 감소(역기전력 발생 구간)한다. 이를 통해서 피크가 발생하는 물리적인 이유를 다음과 같이 유추한다. 피크는 장전 완료 시점 이전에 관찰되며 토크모터와 스토퍼의 상호작용에 의해 발생할 것으로 예상된다. 토크모터 회전력이 스토퍼에 충돌 후 반발력에 의해 짧은 시간 역회전하며 이때 피크(1st)가 발생할 것으로 유추된다. 역회전 구간에서는 전류가 상승하지 않고 일정 값을 유지하며 반발력 감소하는 시점에서 다시 전류가 소폭 상승하며 장전이 완료된다.
인가전압에 따른 측정 전류 걍향성은 다음과 같다. 인가전압이 22 V에서 34 V로 증가함에 따라 측정 전류 값도 증가한다. 22 V에서는 0.94 A였던 측정 전류 값이 34 V에서는 1.43 A로 측정되었다. 즉, 인가전압에 따라 측정 전류 값도 어느 정도 비례하여 증가한다. 또한 높은 전압인 34 V에서 장전 속도가 28, 22 V보다 빠르다. 장전 속도를 확인하고자 Fig. 3에 붉은색 점선으로 기울기를 나타내었다. 기울기는 0 s부터 장전 완료 지점까지로 선택하여 나타내었다. 34 V는 기울기가 크며, 22 V는 상대적으로 기울기가 작다. 즉, 전류 소모가 클 수록 토크모터 회전 속도도 증가며 전류 소모가 작을수록 토크모터 회전 속도도 작아지는 현상이다. 또한 계측 전류가 큰 34 V는 변곡점 형태의 피크가 형성되며, 계측전류가 작은 22 V는 완만하게 전류가 증가한다. 따라서 토크모터에 큰 전압이 인가되면 토크모터가 소비하는 전류 값이 커지고 이에 따라 회전력 및 장전속도가 증가하는 것을 확인하였다. 반면에 빠른 장전 속도는 장전 완료 시 스토퍼 충돌에 대한 반발력을 야기하기 때문에 역회전할 수 있다.
인가전압에 따른 장전 시간은 다음과 같다. 인가전압 34 V일 때 장전 시간은 27.8 ms이며 28 V는 27.05 ms이다. 반면에 22 V는 하나의 피크가 생성되며 이를 기준으로 장전 시간은 27.215 ms이다. 인가전압에 따른 장전 시간을 Table 3의 상온(+25℃)의 장전 시간(붉은색 점으로 표기한 점검 장비로 계측한 장전 시간: arming time with inspection equipment)과 비교한다면 약 5.35-6.1 ms의 차이가 나타난다. 이 차이는 점검 기기와 전류 파형의 장전 시간 차이에 기인한다. 점검기기에서는 200 ms 시점 전류 값과 동일한전류 값이 최초로 계측되는 시점을 장전 시간으로 인식한다. 따라서 토크모터가 완전히 정지되어 있는지 정확하게 판단할 수 없다. 반면에 전류 파형 분석을 통한 장전시간은 토크모터가 완전 정지되어 일정 전류 값에 도달하는 시점을 장전 완료로 정의하기 때문에 보다 정확한 장전 시간을 정의할 수 있다. 따라서 정확한 장전 시간을 제공하기 위해서는 토크모터가 완전 장전 되는 시점을 확인 가능한 전류 파형 분석이 더 신뢰성 있는 기법으로 볼 수 있다.
3.2.2 다양한 온도 저장조건에서 22, 28, 34 V 인가에 따른 전류 파형 경향성 분석
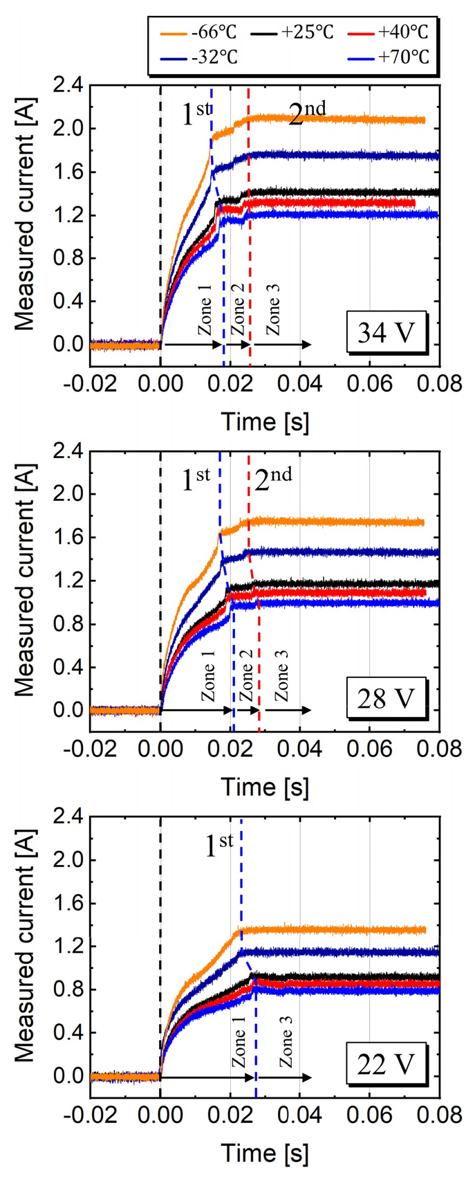
Fig. 4은 -66, -32, +25, +40, +70℃의 온도 조건에서 22, 28, 34 V의 전압을 인가했을 때 전류 파형 데이터로 저장 온도에 따른 장전 시간 경향성 분석을 수행한다.
인가전압에 따른 전체적인 측정 전류 경향성은 Fig. 3와 유사하다. 34 V에서 높은 전류가 계측되며 전압이 감소할수록 전체적인 전류 값도 감소한다.
저장 온도에 따른 측정 전류 경향성은 다음과 같다. 동일 인가전압에서 가장 낮은 온도인 -66℃에서 가장 높은 측정 전류 값을 확인하였으며, 가장 높은 온도인 +70℃가 가장 낮은 측정 전류 값을 확인하였다. 28 V, +25℃ 온도 조건 기준으로 측정 전류는 1.17 A이며, +40, +70℃는 이보다 낮은 1.08A, 0.995 A로 +25℃에 비해 약 8%, 17% 감소한 수치이다. 반면에 -32, -66℃ 온도 조건의 측정 전류는 1.466 A, 1.746 A로 +25℃에 비해 약 20%, 33% 증가한 수치이다. 이러한 경향성은 22, 34 V의 인가전압에도 유사하게 나타난다. 따라서 온도 조건에서 낮은 전류가 계측되는 이유를 분석할 필요가 있다.
인가전압에 따른 장전 시간을 구역(Zone 1, Zone 2, Zone 3)에 따라 기전력과 역기전력 발생 구간으로 분석하였다. Zone 1은 기전력 발생 구간으로 토크모터 회전 시점 즉, 장전 시작 시점(0 s)부터 토크모터 1차 회전 완료 시점인 1st 피크까지이다. Zone 2는 역기전력이 발생하는 구간으로 1st 이후 반발력에 의해 토크모터가 역회전 하는 구간이다. 이때 전류가 계속 인가중이기 때문에 전류 값은 감소하지 않고 평형 상태를 유지한다. Zone 3는 역기전력 이후 기전력이 일정하게 유지되는 구간이며 첫 번째 또는 두 번째 피크 이후 전류인가가 종료되는 구간이다. 기전력과 역기전력 구간을 구별함으로써, 다양한 온도 조건에서 인가전압에 따른 토크모터의 구동을 확인하였다. 기전력과 역기전력이 공존하는 Zone 1, 2는 장전이 진행중인 상황이며, Zone 3는 기전력만 발생하는 구간으로 장전이 완료된 시점인 장전 시간으로 정의해야 할 것이다.
모든 전압 조건에서 저온 환경이 고온 환경보다 상대적으로 장전 속도가 빠르다.
저온 환경에서 전류가 증가하며 이에 따라 토크모터 회전 속도도 증가하여 장전 속도가 증가한다. 반면에 고온 환경에서는 권선에 인가되는 전류가 감소하며 토크모터 회전 속도 감소로 장전 속도가 감소한다. 온도 조건에 따라 권선 저항이 변한다면, 계측되는 전류 값도 변하므로 장전 속도에도 영향을 미치는 것으로 유추할 수 있다. 이를 확인해보기 위해 토크모터의 저항 값을 확인할 필요가 있다.
Fig. 5는 28 V의 전압 인가 시 온도 조건에 따른 토크모터 저항 값이다. +25℃ 기준으로 고온에서 저항이 증가하며, 저온에서 감소한다. +70, +40℃ 온도조건은 +25℃보다 각각 11%, 5% 증가하였으며, -32, -66℃ 온도조건은 각각 19%, 41% 감소하였다. 따라서 저온에서 토크모터 저항이 감소하며 전류가 증가하고 높은 전류는 토크모터 회전력을 증가시켜 장전 속도를 증가시킨다. 반대로 고온 조건은 토크모터 저항이 증가하며 전류가 감소하고 장전 속도도 감소함 확인하였다. 옴의 법칙(Ohm’s law, )에 따라 저항과 전류에 따른 토크모터 전력(watts)을 대략 유추할 수 있다.
는 토크모터 전력, 는 전류, 은 저항이다. Eq. 1에 따라 저항이 작을수록 전류가 증가하고 토크모터 전력이 증가함을 확인하였다. 이는 전압이 일정할 때, 저항이 낮을수록 회로에 더 많은 전력이 소모됨을 의미한다.
온도 조건에 따른 토크모터 저항은 아래 Eq. 2의 관계식을 따른다.
Eq. 2의 는 온도 에서의 저항, 는 기준 온도 에서의 저항, 는 온도계수, 는 현재 온도, 는 기준 온도이다. Eq. 2를 이용하여 Fig. 5의 온도에 따른 저항 관계식은 다음과 같이 정의할 수 있다.
는 온도 에서의 저항, 는 온도 변화에 따른 저항 기울기, 는 기존 온도에서의 저항이다.
결론적으로 토크모터 저항과 온도 관계는 Eq. 5와 같이 선형 관계임을 확인하였으며 온도가 증가할 때 마다 이 증가함을 실험적으로 확인하였다. 이를 통해 온도 변화에 따른 토크모터 저항의 선형적인 특성을 확인하였다.
4. 결 론
본 연구는 전자-기계식 점화안전장치의 장전 메커니즘 분석을 수행하였다. 장전 시간은 점검장비와 전류 파형 계측 결과를 통해 비교분석을 수행하였으며 낮은 온도에서 장전 시간이 감소하고 높은 온도에서 장전 시간이 지연되는 것을 확인하였다. 이를 분석하기 위해 온도 및 장전 전압에 따른 전류 파형을 분석하고 토크모터 저항을 측정하여 장전 메커니즘을 분석하였다. 다음은 본 연구의 결론이다.
첫 번째로 장전 시점을 정의하였다. 기전력 구간(Zone 1, 3)은 토크모터의 정방향 회전 시 발생하고 역기전력(Zone 2)은 역방향 회전 시 발생한다. 따라서 기전력과 역기전력 구간 모두 토크모터가 구동되는 중이지만, 역방향 회전이 작동하는 역기전력 구간은 엄밀하게 장전이 완료된 시점으로 분류하기 어렵다. 따라서 장전이 완료되는 시점은 역기전력 구간이 종료되어 토크모터가 완전 동작이 정지된 시점으로 정의해야 한다.
두 번째로, 저온에서 장전 시간 감소, 고온에서 장전 증가 현상을 검증하였다. 저온에서 토크모터 저항이 낮고 토크모터 구동 전류가 증가하는데, 증가된 전류가 토크모터 회전력을 증가시키켜 장전 시간이 감소한다. 결과적으로 점화안전장치는 저온 환경에서도 동작 안정성을 검증 뿐 아니라 장전 메커니즘도 분석하였다.
본 연구의 한계점은 진동 또는 충격이 없는 안정적인 온도저장 환경에서만 전류 파형 분석을 수행한 것으로 실제 운용 환경을 고려하여 진동 중 전류 파형 분석을 수행할 필요가 있다. 따라서 향후 연구 방향은 두 가지이다. 첫 째로 온도저장 중 진동을 인가하여 전류 파형을 측정하는 것이다. 이를 통해 진동 방향에 따른 장전 시간 경향도 파악할 수 있을 것이다. 이러한 연구를 수행한다면 가혹한 진동과 온도 조건에서 최소 장전 시간 및 장전 메커니즘을 분석하는데 기여한다.







