Copyright © 2025 The Korean Society of Propulsion Engineers
ABSTRACT
1. 서 론
2. 연구 방법 및 데이터
2.1 실험 장치 및 데이터
2.2 네트워크 구성
3. 결과 및 고찰
4. 결 론
1. 서 론
가솔린 직분사(gasoline direct injection, GDI) 엔진은 고압의 연료를 연소실 내에 직접 분사하여 연료 미립화 및 공기–연료 혼합비 제어 측면에서 장점을 지닌다[1]. 특히, GDI 엔진은 일반적으로 전통적인 포트 연료 분사 방식에 비해 우수한 출력, 열효율 및 연비를 보이므로 모빌리티 전반에 널리 채택되고 있다[2,3]. 그러나 다양한 원인에 의해 엔진 실린더 오작동이 발생하는 경우 GDI 엔진 성능에 장단기적 악영향이 발생한다. 예를 들어, 실린더 실화, 불균일 분사 및 구조적 변형 등으로 한 개 이상의 실린더가 비정상 작동하는 경우, 엔진 출력 감소뿐 아니라 이상 진동 및 엔진 정지 등 심각한 안전 문제를 초래할 수 있는 것으로 알려져 있다[4,5]. 따라서, 실린더 이상에 대한 실시간 진단이 GDI 엔진의 안정적 운용을 위해 필수적이다. 나아가, 이러한 이상 현상은 확률적으로 발생하여 물리적 모델로 예측 및 진단이 어려우므로 데이터 기반의 진단이 필요하다.
이에 따라 본 연구에서는 GDI 엔진 실린더 이상의 실시간 진단을 위해 기계학습 기반의 방법론을 적용하고자 한다. 기계 신호의 기계학습 기반 진단 기법으로서 장단기 기억 신경망[6,7], 회귀 신경망[8,9], 복잡도-엔트로피 기반 기법[10,11] 및 물리지식 기반 인공신경망 기반 시스템 식별[12] 등이 제안 및 검증된 바 있으며, 최근에는 기존의 기계학습 기반 기법이 지니는 장기 의존성 등의 한계를 개선할 수 있는 트랜스포머(transformer)[13] 기반의 시계열 분석 연구가 주목받고 있다. 트랜스포머 모델은 회귀 연산을 배제하고 입력되는 시퀀스의 모든 위치에 대해 병렬적으로 연산을 수행하며, 시계열 내 각 시점(time step)이 모든 다른 시점에 대한 가중치를 동적으로 학습하는 셀프 어텐션(self-attention) 기법 기반의 연산을 활용한다. 이를 통해 시계열 내 서로 다른 위치 간 연관도를 계산하므로, 시계열 전체에서 발생하는 비정형 패턴이나 변화 탐지에 유리하다[14]. 이러한 특성을 바탕으로 트랜스포머 기반 방법론은 최근 기계장치의 고장 진단 및 상태 예측에 적용이 시도되었다. 예를 들어, Jin 등[15]은 트랜스포머 기반 기법을 회전 기계의 이상 진단에 활용하였고, Li 등[16]은 유사한 기법을 엔진 배출 가스 시계열 신호의 예측에 사용하고자 하였다.
본 연구에서는 이러한 트랜스포머 방법론을 활용하여 GDI 엔진의 실린더 이상을 감지하는 방법론을 제안하며, 이를 실제 GDI 엔진 데이터로 검증하고자 한다. 이러한 내용으로 아래 2장에서는 실험 장치와 데이터, 해석 방법론을 기술하고, 3장에서 이상 감지 수행 결과를 도시하며, 본 연구를 통해 얻은 결론을 4장에서 요약한다.
2. 연구 방법 및 데이터
2.1 실험 장치 및 데이터
실험을 위해 Fig. 1과 같은 배기량 1.6L의 GDI 엔진 테스트 벤치를 마련하였다(GDI 엔진 A/T 시뮬레이터, GS- G2360A AVANTE). 해당 엔진 시험장치는 엔진 컨트롤 모듈에서 4개 실린더 신호를 계측, 제어할 수 있도록 구성되었으며, 실린더 내부 정보를 직접적으로 계측하지 않고도 실린더의 상태를 진단하고 이상 작동을 감지하기 위하여 일반적으로 계측되는 엔진 신호인 캠샤프트 및 크랭크샤프트 포지션 센서와 점화 코일 신호를 계측하였다. 엔진 주요 구성품 및 개략도는 Fig. 2에 표기하였다.

Fig. 1.
Picture of a GDI engine assembly used in this study.

Fig. 2.
Schematic of the GDI engine assembly and its subcomponents.
엔진 이상 작동 감지를 위해 상기한 4개 센서의 신호를 정상, 비정상 및 천이 상태에서 각각 계측하였다. 실린더 이상은 사전 지정된 시점에 1개 실린더의 탈거(detach)로 인하여 비정상 작동하는 조건을 발생시켰다. 이는 개별 실린더의 실화 등 이상 조건으로 인해 동력 전달이 차단된 상황을 가정한 것이다. 각 상황에서 상기한 4개 센서의 원 신호는 오실로스코프를 통해 1 MHz(1,000,000/s)의 빈도로 계측하였으나, 실제 연구에서는 다운샘플링된 100 kHz(100,000/s)의 신호를 활용하였다. 이는 본 데이터 기반 연구에서 활용하는 트랜스포머 네트워크의 훈련 및 해석에서의 신속성과 즉시성을 위함으로, 1/10의 다운샘플링된 데이터를 활용하여도 결과에 유의미한 차이를 보이지 않음을 확인하였다.
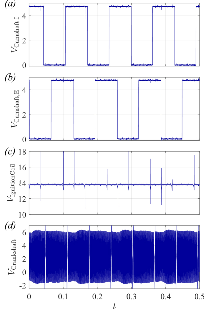
이와 같이 획득한 정상(normal) 및 비정상 상태에서의 엔진 신호는 Fig. 3 및 Fig. 4에 각각 도시하였다. 그래프와 같이 정상 및 비정상 상태의 캠샤프트 포지션 센서 및 점화 코일 센서 신호에서 유의미한 차이가 발견되지 않았으며, 크랭크샤프트 포지션 센서 신호에서 약간의 파형 차이가 관찰되었다. 본 연구에서는 하술할 트랜스포머 네트워크를 활용하여 이러한 4가지 신호를 다변량 데이터로서 훈련 및 이상 진단에 활용하고자 하였다.

Fig. 3.
Normal state voltage signals collected at (a) camshaft intake position sensor, (b) camshaft exhaust position sensor, (c) ignition coil, and (d) crankshaft position sensor.

Fig. 4.
Abnormal state voltage signals collected at (a) camshaft intake position sensor, (b) camshaft exhaust position sensor, (c) ignition coil, and (d) crankshaft position sensor.
2.2 네트워크 구성
엔진 다변량 시계열 데이터의 이상 감지를 위해 본 연구에서는 디코더 기반의 트랜스포머 구조를 활용하였다. 이는 이전 시점의 데이터를 바탕으로 현재 시점을 예측하는 시계열 데이터의 인과관계를 준수하고자 함이며, 구체적으로 이를 위해 다중 헤드 어텐션(multi-head attention)에 마스킹 기법을 적용하여 모델이 아직 관측되지 않은 미래 시점에 대한 입력 값을 받지 못하도록 제한하는 방식을 활용하였다.
이렇게 마스킹된 다중 헤드 어텐션, 드롭아웃 및 정규화 층, 위치별(position-wise) 순방향 네트워크 등으로 구성된 3개의 디코더 층과 위치 엔코딩(positional encoding) 층으로 트랜스포머 네트워크를 구성하였다. 신경망은 정상(normal) 상태에서 1초간 계측된 4개 센서 데이터(캠샤프트 흡기/배기, 크랭크샤프트 포지션 센서, 점화 코일)로 훈련하였으며, 10-4의 학습율로 20 회의 epoch간 진행하였다. 신경망 훈련에 따라 평균 자승 오차로 정의된 손실함수(loss function)의 변화는 Fig. 5와 같으며, 충분한 수렴을 확인하였다. 네트워크 구성, 훈련 및 테스트는 Google Colab을 활용하여 수행되었다.

Fig. 5.
Change of the loss function upon network training. Transformer network is trained for 20 epochs.
이와 같이 훈련된 트랜스포머 네트워크를 활용한 이상 감지는 크랭크샤프트 포지션 센서 시계열 신호의 예측값과 실제 신호를 비교하여 수행하였다. 구체적으로, 크랭크샤프트 포지션 센서의 예측값과 실제 측정값간 절대오차의 0.02 s 구간 이동평균을 지속적으로 모니터링하였으며, 이 수치가 사전에 지정된 한계치(threshold)인 0.03 V에 도달하는 순간을 실린더 이상 발생 시점으로 정의하였다. 여기에서 활용한 이상 감지 한계치는 신속한 감지가 가능한 수치를 시행착오적으로 식별한 것이다.
3. 결과 및 고찰
정상, 비정상 및 천이 상태에서의 크랭크샤프트 포지션 센서 신호와, 본 연구에서 제안한 트랜스포머 기반 기법으로 예측한 신호를 Fig. 6에 도시하였다. 모든 상태에서 예측 신호가 실제 신호의 파형 및 주파수를 적절히 예측하는 것으로부터 트랜스포머 기반 다변량 예측 기법이 원활하게 작동함을 확인하였다. 특히, 천이 및 비정상 신호에서 실린더 이상 발생 이후에도 크랭스샤프트 포지션 센서 신호를 정확하게 예측할 수 있는 것을 확인하였으며, 이는 트랜스포머 신경망이 정상 작동하는 엔진에서 1초간 획득한 신호로만 훈련되었음에도 불구하고 시계열 예측이 가능함을 시사하였다.

Fig. 6.
True(black) and predicted(red) signal at the crankshaft position sensor, obtained at (a) normal, (b) abnormal and (c) transient states. In the transient case, cylinder failure point is at 0.1 s.
그러나, 실제 신호와 예측 신호간 절대오차를 상세히 분석한 결과, 정상 상태의 오차보다 실린더 이상 발생 이후의 오차가 다소 높은 것을 확인하였으며, 이를 바탕으로 이상 진단을 수행할 수 있을 것으로 판단하였다. 따라서, 실제 신호와 예측 신호간 절대오차의 이동평균을 산출하여 해당 수치가 사전 설정된 0.03 V를 초과하는 순간을 실린더 이상 발생 지점으로 특정하였다.
이와 같은 방식으로 실린더 이상을 탐지한 결과를 Fig. 7에 나타내었다. 해당 그래프에서 실린더 이상 발생 직후 상기한 절대오차의 이동평균이 상승하는 것을 확인할 수 있으며, 이를 통해 실린더 탈거 0.06초 이후에 이상 감지에 성공하였다. 본 연구에 활용한 트랜스포머 네트워크가 1초간의 정상 상태 엔진 데이터로만 훈련되었음을 감안할 때, 실린더 이상 발생 직후에 효율적으로 감지가 가능한 것으로 판단되었다.

Fig. 7.
Absolute error of the crankshaft position sensor signal prediction during transient operation. The moving average over a 0.02 s window is shown by the red line, and the anomaly detection threshold is indicated by the dotted blue line. Engine cylinder anomaly is detected 0.06 s after the failure point.
4. 결 론
본 연구에서는 셀프 어텐션 기반의 트랜스포머 네트워크를 활용하여 GDI 엔진의 실린더 이상을 탐지하는 기법을 연구하였다. 캠샤프트 흡기/배기 센서, 크랭크샤프트 포지션 센서, 점화 코일 센서 등에서 계측된 다변량 시계열 신호의 처리를 위하여 다중 헤드 어텐션에 마스킹을 적용하여 실제로 활용 가능한 시계열 예측 기법을 구현하고자 하였으며, 이를 통해 실제 GDI 엔진의 벤치 테스트 결과를 활용하여 실린더 이상 감지를 수행하였다. 본 연구에서 제안한 방법론을 적용한 결과, 1초간의 엔진 신호 훈련만으로도 실린더 이상 발생으로부터 0.06초 이내에 감지가 가능한 것을 확인하였으며, 이를 바탕으로 즉각적인 엔진 이상 탐지가 가능할 것으로 판단하였다. 이러한 결과는 향후 실제 엔진의 온라인모니터링 및 제어를 통하여 종합적인 안전성 제고로 이어질 수 있을 것으로 기대된다.
본 연구에서는 GDI 엔진에서 하나의 실린더 동력이 차단된 상황을 가정하였으나, 향후 연구에서는 보다 다양한 상황에서의 이상 감지를 수행할 수 있을 것으로 생각된다. 예를 들어, 엔진의 실화, 역화, 이상 진동 등 다양한 고장 시나리오에 대한 트랜스포머 기반 이상 감지를 수행할 수 있을 것으로 판단하였다. 이를 통해 현대 모빌리티에 널리 활용되는 GDI의 안정적인 운용에 기여할 수 있을 것으로 생각된다.
나아가, 본 연구에서 활용한 방법론은 데이터 기반의 방법이므로, 향후 유사한 방법론을 GDI 엔진뿐 아니라 다른 종류의 내연기관을 포함한 여러 물리적 시스템의 이상 감지에 폭넓게 활용할 수 있을 것이다. 일례로, 본 연구 그룹에서는 트랜스포머 기반 이상 진단 기법을 가스터빈 등 연속 연소 시스템의 연소 진동 모니터링[17,18,19]에 적용하는 연구를 후속 연구로서 수행하고자 한다.
Acknowledgements
이 연구는 2025학년도 국립한밭대학교 학술문화연구재단(2025 Hanbat National University Academic and Cultural Research Foundation)에서 지원받았습니다.
References
Zhao, F., Lai, M.C. and Harrington, D.L, “Automotive Spark-Ignited Direct -Injection Gasoline Engines,” Progress in Energy and Combustion Science, Vol. 25, No. 5, pp. 437-562, 1999.
10.1016/S0360-1285(99)00004-0Duronio, F., De Vita, A., Allocca, L. and Anatone, M., “Gasoline direct injection engines–A review of latest technologies and trends, Part 1: Spray breakup process,” Fuel, Vol. 265, pp. 116948, 2020.
10.1016/j.fuel.2019.116948Duronio, F., De Vita, A., Montanaro, A. and Villante, C., “Gasoline direct injection engines–A review of latest technologies and trends, Part 2,” Fuel, Vol. 265, pp. 116947, 2020.
10.1016/j.fuel.2019.116947Spicher, U, Reissing, J., Kech, J.M. and Gindele, J., “Gasoline Direct Injection (GDI) engines-Development Potentialities,” Technical Report, SAE Technical Paper 1999-01-2938, 1999.
10.4271/1999-01-2938Cavina, N., Businaro, A., Rojo, N., De Cesare, M., Paiano, L. and Cerofolini, A., “Combustion and intake/exhaust systems diagnosis based on acoustic emissions of a GDI TC engine,” Energy Procedia, Vol. 101, pp. 677–684, 2016.
10.1016/j.egypro.2016.11.086Chen, H., Liu, H., Chu, X., Liu, Q. and Xue, D., “Anomaly detection and critical SCADA parameters identification for wind turbines based on LSTM-AE neural network,” Renewable Energy, Vol. 172, pp. 829-840, 2021.
10.1016/j.renene.2021.03.078Li, Z., Li, J., Wang, Y. and Wang, K., “A deep learning approach for anomaly detection based on SAE and LSTM in mechanical equipment,” The International Journal of Advanced Manufacturing Technology, Vol. 103, pp. 499-510, 2019.
10.1007/s00170-019-03557-wQu, C., Zhou, Z., Liu, Z. and Jia, S., “Predictive anomaly detection for marine diesel engine based on echo state network and autoencoder,” Energy Reports, Vol. 8, pp. 998-1003, 2022.
10.1016/j.egyr.2022.01.225Wielgosz, M., Skoczeń, A. and De Matteis, E., “Protection of superconducting industrial machinery using RNN-based anomaly detection for implementation in smart sensor,” Sensors, Vol. 18, No. 11, p. 3933, 2018.
10.3390/s1811393330441813PMC6264111Lee, M., “Early warning detection of thermoacoustic instability using three-dimensional complexity-entropy causality space,” Experimental Thermal and Fluid Science, Vol. 130, p. 110517, 2022.
10.1016/j.expthermflusci.2021.110517Han, E., Kim, D., Lee, J., Kim, Y., Yi, M. and Lee, M., “Analysis of the Hall-Effect Thruster Discharge Blowoff Using Complexity-Entropy Causality Plane,” Journal of the Korean Society for Aeronautical & Space Sciences, Vol. 51, No. 4, pp. 263-271, 2023.
10.5139/JKSAS.2023.51.4.263Son, H. and Lee, M., “A PINN approach for identifying governing parameters of noisy thermoacoustic systems,” Journal of Fluid Mechanics, Vol. 984, p. A21, 2024.
10.1017/jfm.2024.219Vaswani, A., Shazeer, N., Parmar, N., Uszkoreit, J., Jones, L., Gomez, A.N., Kaiser, Ł. and Polosukhin, I., “Attention is all you need,” Advances in Neural Information Processing Systems, Vol. 30, 2017.
Zerveas, G., Jayaraman, S., Patel, D., Bhamidipaty, A. and Eickhoff, C., “A transformer-based framework for multivariate time series representation learning,” 27th ACM SIGKDD Conference on Knowledge Discovery & Data Mining, Singapore, pp. 2114-2124, Aug. 2021.
10.1145/3447548.3467401Jin, Y., Hou, L. and Chen, Y., “A time series transformer based method for the rotating machinery fault diagnosis,” Neurocomputing, Vol. 494, pp. 379-395, 2022.
10.1016/j.neucom.2022.04.111Li, Z., Zhang, X. and Dong, Z., “TSF-transformer: a time series forecasting model for exhaust gas emission using transformer,” Applied Intelligence, Vol. 53, No. 13, pp. 17211-17225, 2023.
10.1007/s10489-022-04326-136590990PMC9788662Lee, M., Kim, K.T., Gupta, V. and Li, L.K.B., “System identification and early warning detection of thermoacoustic oscillations in a turbulent combustor using its noise-induced dynamics,” Proceedings of the Combustion Institute, Vol. 38, No. 4, pp. 6025-6033, 2021.
10.1016/j.proci.2020.06.057Guk, S., Seo, S. and Lee, M., “Thermoacoustic dynamics in an annular model gas-turbine combustor under transverse stochastic forcing,” Journal of the Korean Society of Combustion, Vol. 28, No. 3, pp. 20-27, 2023.
10.15231/jksc.2023.28.3.020Guk, S., Seo, S. and Lee, M., “An image-based spatiotemporal approach for detecting coherence resonance in annular model gas-turbine combustor,” Physics of Fluids, Vol. 36, No. 5, 2024.
10.1063/5.0208950