1. 서 론
2. 실험 장치 구성
2.1 연소기 설계 및 작동 조건
2.2 실험 장비
3. 실험 결과 및 고찰
3.1 Detonation development
3.2 Detonation velocity
3.3 Detonation propagation at exit
4. 결 론
1. 서 론
데토네이션 엔진은 기존 Brayton 사이클 기반의 정압 연소 엔진보다 열역학적 효율이 20% 이상 향상될 수 있다. 이러한 장점으로 인해 국내외적으로 데토네이션 엔진에 관한 연구가 활발히 이루어지고 있으며[1,2,3], 특히 선회형 데토네이션 엔진(rotating detonation engine, RDE)는 항공우주 산업의 차세대 추진 시스템으로 주목받고 있다.
RDE의 안정적이고 효율적인 운용을 위해 초기 점화는 필수적인 과정이다. 일반적으로 RDE에서는 Pre-detonator를 이용하여 데토네이션파를 발생시키고 엔진을 작동시키며, 이에 관한 다양한 연구가 진행되었다.
Pre-detonator에서 발생한 데토네이션파의 거동을 이해하기 위한 연구들이 수행되었다. Xie 등[4]은 Pre-detonator에서 발생한 데토네이션파의 거동을 수치해석적으로 분석하였으며, 이를 통해 RDE 내부에서의 파 전파 특성을 연구하였다. Lei 등[5]은 Pre-detonator에서 발생한 데토네이션파가 평판형 연소실 내부로 전파될 때의 천이 과정을 실험적으로 연구하였으며, 특히 연소실 길이와 질소 희석 농도가 데토네이션 천이에 미치는 영향을 분석하였다. 또한, Shi 등[6]은 Pre-detonator 앞에 장애물을 배치하여 데토네이션파 전파에 미치는 영향을 분석하였다.
추가적으로, 가진기 등의 역할을 하는 Micro PDE에 대한 연구도 활발히 진행되었다. Lee 등[7]은 저주파 (10~20 Hz)에서 Micro PDE를 이용한 스크램제트 연소기의 능동 가진에 관한 연구를 수행하였으며, 이를 통해 Micro PDE가 연소 효율을 향상시키고 초음속 연소 안정화에 기여할 수 있음을 확인하였다. Chen과 Wu[8]는 Valveless type Micro PDE에서 Shadowgraph 기법을 활용하여 연료와 산화제의 혼합 특성을 분석하고, 이를 통해 연료의 사전 점화를 방지하면서도 고주파 조건에서 안정적인 연소기 작동을 구현하였다. 이러한 선행연구들을 통해 확인할 수 있듯, Pre-detonator에서 데토네이션파의 연소 특성을 이해하는 것은 안정적이고 효율적인 점화기 설계를 위해 필수적이다.
Pre-detonator 및 Micro PDE에 대한 다양한 연구가 진행되었으나, 연료 변화에 따른 데토네이션파 특성을 분석한 연구는 상대적으로 부족하였다. 연료 변화는 추진제의 물리·화학적 특성뿐만 아니라 연소 시 생성물 및 점화 특성에도 영향을 미치며, 이에 따라 데토네이션파의 생성 및 전파 특성 또한 변화하게 된다. 따라서 본 연구에서는 Pre-detonator에서 연료 변화에 따른 데토네이션파의 연소 특성을 실험적으로 분석하고, 향후 점화기 설계 최적화를 위한 기초 데이터를 제공하고자 한다.
2. 실험 장치 구성
2.1 연소기 설계 및 작동 조건
본 연구에서 높이 8 mm, 폭 8 mm, 길이 240 mm의 개방형 연소기를 사용하였다. DDT(deflagration to detonation transition)를 용이하게 하기 위해 BR(blockage ratio) 0.625인 Orifice type의 DDT 장치를 구성하였다.
산화제로 O2를 사용하였으며, 연료 선정 과정에서 연료의 상용성과 detonability 등을 고려하여 CH4와 C2H2를 선정하였다. CH4는 무독성이며 친환경적 특성을 가지며, 기존 케로신계 연료에 비해 soot의 생성이 적은 연료이다. 본 연구에서는 차세대 추진기관의 연료로 각광받고 있는 CH4를 실험에 사용하였다. C2H2는 다른 탄화수소계 연료와 비교했을 때 데토네이션 천이 민감도를 나타내는 detonability가 상대적으로 높다. 일반적으로 detonability의 척도로 cell size[9]가 사용되며, O2 산화제를 적용한 C2H2의 경우 0.3 mm로 CH4의 4.5 mm[10]보다 작아 상대적으로 높은 detonability를 가진다. 이에 본 연구에서는 연료의 detonability가 Pre-detonator의 연소 특성에 미치는 영향을 확인하고자 CH4와 C2H2를 연료를 선정하였다.
실험은 당량비 0.6~1.6 조건에서 수행되었으며, 유량 조건은 Table 1과 같다. 추진제의 유량을 제어하기 위해 MFC를 사용하였으며, 연료는 Bronkhorst 社의 mini CORI- FLOW m-15 모델을 사용하였고 산화제는 OMEGA 社의 FMA-2607A-I 모델을 사용하였다. National Instrument 社의 DAQ 장치와 Labview를 사용해 제어 및 데이터를 획득하였다. 추진제의 유량을 안정화하기 위해 7 s 동안 연료와 산화제를 공급하였으며, 밸브가 닫힌 직후 0.5 s 동안 spark plug를 작동시켰다. Fig. 1은 실험장치 및 연소기 개략도이다.
Table 1.
Experimental case of pre-detonator.
| Oxidizer |
MFRox [g/s] | Fuel |
MFRfuel [g/s] | ϕ |
| O2 | 0.25 | CH4 | 0.040 | 0.64 |
| 0.050 | 0.80 | |||
| 0.065 | 1.04 | |||
| 0.080 | 1.28 | |||
| 0.100 | 1.60 | |||
| C2H2 | 0.050 | 0.61 | ||
| 0.070 | 0.86 | |||
| 0.085 | 1.04 | |||
| 0.100 | 1.23 | |||
| 0.120 | 1.47 |
2.2 실험 장비
Pre-detonator의 연소 특성을 파악하고자 초고속카메라 이미지, 슐리렌 기법, 동압 센서를 사용하였다. 연소기 벽면을 PC(polycarbonate)로 설계하여 DDT 장치를 포함한 연소실 내부에서 데토네이션파를 가시화하였다. 초고속 카메라 이미지 촬영을 위해 Phantom 社의 VEO 710 모델과 Nikon 社의 100 mm F 2.8 단렌즈를 사용하였다. 촬영 조건은 해상도 1024×52, Sampling rate 120,000 fps, Exposure time 1 μs로 설정하였다.
슐리렌 이미지는 Z-type의 슐리렌 장치를 구성하여 촬영하였으며, 광원으로 Thorlabs 社의 MNWHL4와 Edmund Optics 社의 6“ Diameter × 36” Focal length 포물면 거울을 사용하였다. 초고속 카메라는 앞서 사용한 Phantom 社의 VEO 710을 동일하게 사용하였으며, Nikon 社의 50 mm F 1.8 단렌즈를 사용하였다. 촬영 조건은 해상도 256×192, Sampling rate 100,000 fps, Exposure time 1 μs로 설정하였다.
데토네이션파의 전파 속도를 측정하기 위해 PCB Piezotronics 社의 113B24 압력 센서를 사용하였다. 압력 데이터 측정에는 Keysight 社의 DSOX1204G를 사용하였으며, 1 M Sample/s의 속도로 데이터를 수집하였다.
3. 실험 결과 및 고찰
3.1 Detonation development
연소실 내부에서 데토네이션파의 발달 과정을 분석하기 위해 가시화 실험을 수행하였다. Fig. 2와 Fig. 3은 데토네이션파 천이 등의 특징이 뚜렷하게 나타나는 실험 조건에서 촬영한 가시화 이미지이다. 화염면 및 데토네이션파가 DDT 장치를 완전히 지나가기 직전 프레임을 0 μs로 정의하였으며, x축은 연소실 내 위치를 나타낸다.
Fig. 2에서는 화염의 전파특성이 변화하는 175 mm 지점을 기준으로, 좌측은 디플라그레이션(deflagration)이 데토네이션으로 천이하는 발달 영역(developing region), 우측은 데토네이션파의 완전발달 영역(fully developed region)으로 구분하였다. 발달영역에서는 Fig. 2의 확대된 이미지에서 보이는 것과 같이 화염면이 불규칙한 형상으로 전파되는 것을 확인할 수 있다. Dove와 Wagner[11]의 선행연구를 통해 이와 같은 화염의 거동을 설명할 수 있다. Dove와 Wagner의 연구에서 데토네이션으로 천이하는 과정에서의 화염면이 벽면을 따라 회전하며 전파된다고 보고되었다. 따라서 CH4 발달 영역에서 관찰된 화염면은 데토네이션 천이과정에서 형성된 회전하는 화염면이며, 연소실 상부에서 하부로 회전하는 것임을 확인할 수 있다. 화염이 데토네이션파로 완전발달하면, 푸른색의 자발광을 내고 평평한 화염면을 유지하면서 전파됨을 확인할 수 있다. 이렇게 완전발달로 천이하는 위치는 당량비에 따라 변화하였다. 당량비가 1보다 작은 희박 연소 조건에서는 화염이 완전발달상태로 천이하지 못했다. 그러나 당량비가 증가함에 따라 약 200 mm, 175 mm, 165 mm 지점으로 완전발달에 도달하기까지의 거리가 점차 감소하였다.
Fig. 3는 당량비 1.23 조건에서 C2H2 화염의 가시화 이미지이다. CH4의 이미지와 비교하여 화염면이 DDT 장치를 지나는 순간부터 청염으로 전파되는 것을 확인할 수 있었으며, 당량비가 증가할수록 더 강한 자발광이 발생하였다. CH4의 분석을 바탕으로 보면, C2H2의 경우 DDT 장치에서부터 데토네이션파가 완전발달로 천이한 것으로 판단된다. 이는 C2H2가 CH4보다 detonability가 높아, DDT 장치에서 즉시 천이가 이루어졌기 때문으로 판단된다. 또한, Fig. 3에서 데토네이션파가 지나간 후 연소실 내에 마름모 형태의 충격파가 형성됨을 확인할 수 있다. Pantow 등[12]의 선행연구에 따르면, 데토네이션파가 전파되는 유로의 단면적이 급격히 증가하면 데토네이션파는 회절(diffraction)을 일으킨다. 본 연구에서 사용한 연소기는 DDT 장치를 지나면서 유로 면적이 2.6배로 급격히 증가하였으며, 이로 인해 데토네이션파가 회절되어 둥근 형상으로 전파되었다. 이 과정에서 벽면과 충돌한 충격파는 반사(reflection)되어 횡파(transverse wave)를 생성하였다. 수평 방향으로 전파되는 초기 충격파(incident shock)와 이로 인해 생성된 횡파가 중첩되어 마름모 형태의 구조가 형성됨을 확인할 수 있다. 이러한 현상은 C2H2의 모든 당량비 조건에서 관찰되었다.
3.2 Detonation velocity
연소실 내에서 전파되는 데토네이션파의 속도를 측정하기 위해 동압계와 초고속 카메라를 활용하였다. Fig. 4는 동압계를 이용하여 측정한 전압 데이터를 나타낸다. 수행한 모든 조건에서 Von Neumann Spike가 관찰되었다. 각 센서에서 Von Neumann Spike에 따른 전압 변화량(dV/dt)이 최대가 되는 지점을 기준으로 데토네이션파의 도달 시간을 결정하였으며, 이를 이용하여 각 구간에서의 데토네이션파 속도를 계산하였다.
Fig. 5는 동압계를 이용하여 측정한 데토네이션파 속도를 연료별로 비교한 그래프이다. V1은 연소실 입구 부근에서의 속도를, V2는 출구 부근에서의 속도를 나타낸다. Fig. 5(a)는 CH4의 데토네이션파 속도를 나타낸다. 연소실에서 완전발달로 천이가 이루어지지 않은 당량비 0.64 조건에서는 V1과 V2의 속도 차이가 100 m/s 이하로 나타났다. 그러나 당량비가 증가함에 따라 V1과 V2의 속도 차가 증가하며, 당량비 1.28 조건에서 최대 1000 m/s의 속도 차이를 보였다. 이러한 속도 차이는 연소실 전단부에서 후단부로 이동하는 동안 화염이 가속되면서 발생한 것으로 판단된다. 특히, 당량비 1.6 조건에서는 V1과 V2의 속도 차이가 당량비 1.28에 비해 감소한 것으로 나타났는데, 이는 데토네이션파가 완전발달에 도달하는 거리가 줄어들었기 때문으로 보인다. Fig. 5(b)는 C2H2의 동압계 데이터를 기반으로 도출한 데토네이션파 속도를 보여준다. CH4와 비교했을 때, C2H2의 경우 V1과 V2의 속도 차이가 150 m/s 이하로 유지되었으며, 이는 DDT 장치를 통과한 데토네이션파가 이미 완전히 발달했음을 의미한다. 또한, C-J 이론 속도 대비 10% 내외의 오차를 보였다.
본 연구에서는 위치에 따른 데토네이션파 속도 측정을 위해 초고속 카메라를 활용하였다. Fig. 6은 초고속 카메라로 측정한 속도와 동압계 데이터를 비교한 결과를 나타낸다. 두 방법 간 속도 차이는 10% 이내로 유지되었으며, 이를 통해 초고속 이미지 기반 측정의 신뢰성을 검증할 수 있었다. Fig. 6은 동압계가 설치된 위치(152.5 mm, 207.5 mm)에서 측정된 속도를 함께 나타내고 있다.
Fig. 7은 초고속 카메라를 이용하여 측정한 데토네이션파 속도를 당량비별로 정리한 그래프이다. Fig. 7(a)에서 CH4 연료 과잉 조건의 경우, 데토네이션파 속도가 완전히 발달하는 것으로 판단되는 200 mm(ϕ=1.6), 175 mm(ϕ=1.28) 영역부터 속도가 일정하게 수렴됨을 확인할 수 있다. 또한, 데토네이션 파로 천이가 일어나지 않은 것으로 판단된 당량비 0.64 조건을 제외하면, 당량비가 증가할수록 데토네이션파의 속도가 증가하는 경향을 보인다. 이를 통해 연소실의 길이가 충분히 길 경우, 당량비 1 이하 조건에서도 데토네이션파가 완전발달로 천이할 가능성을 확인할 수 있었다. Fig. 7(b)의 C2H2는 C-J 이론 속도와 비교했을 때 모든 당량비 조건에서 300 m/s 이하의 오차를 보였다. CH4와 달리, C2H2의 경우 화염면 속도가 전 구간에서 상대적으로 일정하게 유지됨을 확인할 수 있었다. 이는 C2H2가 모든 당량비 조건에서 데토네이션파의 완전발달 상태에 도달했음을 의미한다.
3.3 Detonation propagation at exit
Pre-detonator에서 생성된 데토네이션파의 중요한 특성 중 하나는 연소실 외부로 배출되는 화염 생성물과 충격파의 형상이다. 본 연구에서는 슐리렌 기법을 활용하여 연소실 외부로 전파되는 데토네이션파와 충격파의 특성을 분석하였다. Fig. 8은 이론 당량비 조건에서 촬영한 슐리렌 이미지를 나타낸다. 이미지에서 파가 전파되는 과정에서, 명암 차이가 뚜렷한 전면부는 충격파(incident shock)이며, 그 뒤를 따라 주름진 형태로 전파되는 부분은 연소 생성물(combustion product)이다. 모든 실험 조건에서 화염면이 충격파와 함께 전파되는 현상이 관찰되었다. Fig. 8(a)에서는 CH4의 출구부에서 충격파와 화염면이 분리된(decoupled) 상태로 전파되는 것이 관찰되었다. Pintgen과 Shepherd[13]의 연구에서는, 전면 충격파와 화염면이 분리된 상태로 전파되는 데토네이션파를 sub- critical regime으로 정의하고, 출구 근처에서 일시적으로 결합되지만 점차 분리되는 경우를 critical regime-sub- critical outcome, 출구 이후 재점화가 발생하는 경우를 critical regime-super-critical outcome으로 분류하였다. 따라서 CH4는 모든 당량비 조건에서 sub-critical regime으로 전파된 것으로 판단된다.
반면, Fig. 8(b)에 나타난 C2H2의 경우, 출구부 근처에서 전면 충격파와 화염면이 결합된(coupled) 상태로 전파되었으며, 이후 점차 분리되는 것이 관찰되었다. Pintgen과 Shepherd[13]의 연구를 기준으로 해석했을 때, 당량비 0.64를 제외한 모든 조건에서 C2H2의 데토네이션파는 critical regime-sub-critical outcome으로 천이한 것으로 판단된다. 그러나 당량비 0.64 조건에서는 CH4와 유사하게 충격파와 화염면이 분리된 상태로 전파되어 sub- critical regime으로 분류된다. 이러한 결과는 C2H2가 CH4보다 높은 반응성을 가져 데토네이션 천이가 더 쉽게 발생함을 시사한다. 또한, 연료 종류와 당량비가 데토네이션 천이에 중요한 영향을 미친다는 점을 확인할 수 있다.
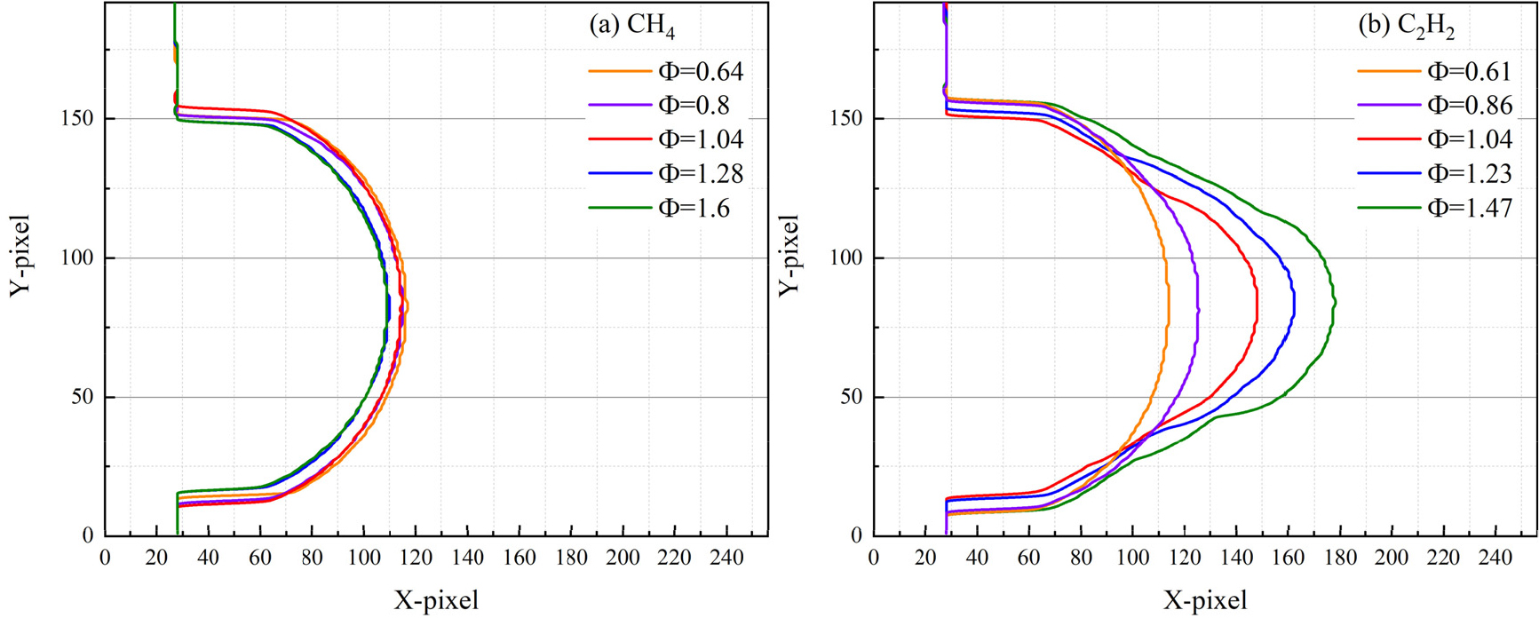
추가적으로, 당량비에 따른 전면 충격파의 전파 형상을 비교하기 위해 Fig. 9와 같이 이미지 후처리를 수행하였다. 후처리 과정에서 (a) 원본 이미지를 Matlab 소프트웨어로 보정하여 (b) 회색조 이미지로 변환하였고, 이후 (c) 이진화 이미지를 통해 전면 충격파의 윤곽을 수치화하였다. 이진화 과정에서 화소 강도(pixel intensity) 170을 threshold 값으로 설정하였다. 이때, 전면 충격파에 의해 생긴 영역의 화소 강도를 고려하였을 때 100~200의 threshold 값을 설정하면, 설정한 값이 변하더라도 충격파 윤곽에 미치는 영향이 크지 않음을 확인하였다. Fig. 10은 이미지 후처리를 통해 얻은 충격파의 윤곽을 당량비별로 정리한 결과를 나타낸다. Fig. 10(a)의 CH4는 당량비에 따른 충격파 형상의 변화가 크지 않았으며, 이는 sub-critical regime에서 화염 생성물이 전면 충격파에 영향을 주지 않기 때문으로 해석된다. 반면, Fig. 10(b)의 C2H2는 당량비 증가에 따라 충격파가 더 빠르게 전파되는 경향을 보였다. 이는 critical regime sub-critical outcome 상태에서 화염이 전면 충격파에서 재점화되어 나타난 현상으로 해석된다.
4. 결 론
본 연구에서는 Pre-detonator에서 연료에 따른 데토네이션파의 연소 특성을 실험적으로 분석하였다. 산화제로 O2를 사용하였으며, detonability가 상이한 CH4와 C2H2를 연료로 선정하였다. 연소 특성을 확인하기 위해 당량비 0.6~1.6 조건에서 초고속 카메라, 슐리렌 기법, 동압 데이터를 활용하여 분석을 수행하였다.
CH4의 경우, 초고속 이미지를 통해 발달 영역과 완전 발달 영역을 구분할 수 있었으며, 발달 영역에서 데토네이션파의 회전 현상이 관찰되었다. 또한, 당량비 증가에 따라 완전 발달에 도달하는 거리가 점차 감소하는 경향을 보였다. 반면, C2H2는 DDT 장치를 통과한 직후 빠르게 완전 발달 상태에 도달하였으며, 일정한 속도로 전파되는 특성을 나타냈다. 연소실 내부에서는 충격파의 회절과 반사파, 횡파 형성으로 인해 마름모 형태의 구조가 발생하였으며, 이러한 현상은 모든 당량비 조건에서 관찰되었다.
슐리렌 이미지를 분석한 결과, C2H2는 당량비 0.6 이상에서 critical regime-sub-critical outcome으로 천이하였으며, CH4는 모든 실험 조건에서 sub-critical regime으로 전파되었다. 또한, 당량비 변화에 따른 전면 충격파의 전파 형상을 비교하기 위해 이미지 후처리를 수행하였다. 후처리 결과, CH4는 당량비 변화에 따른 충격파 형상의 변화가 미미한 반면, C2H2는 당량비 증가에 따라 충격파가 더 빠르게 전파되는 경향을 나타냈다.
본 연구를 통해 연료 종류와 당량비가 데토네이션파의 완전 발달 거리 및 연소실 출구에서 전파되는 충격파 형상에 미치는 영향을 실험적으로 규명하였다. 향후 연구에서는 DDT 장치의 형상 및 연소기 직경이 데토네이션파 발달에 미치는 영향을 추가로 분석하여, Pre-detonator의 설계 최적화를 위한 기초 자료를 확보할 예정이다. 본 연구 결과는 차세대 추진기관에서 Pre-detonator의 성능을 향상시키는 데 기여할 수 있으며, 고효율 점화 시스템 설계에 대한 기초 데이터를 제공할 것으로 기대된다.












